Фтивазид
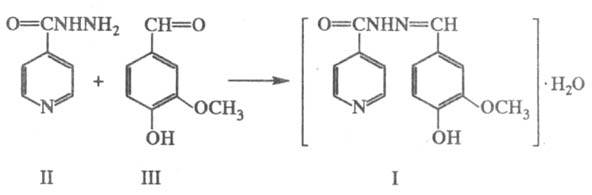
ФТИВАЗИД [гидрат N-(4-гидрокси-3-метоксибензилиден)-гидразида изоникотиновой к-ты, ваницид; ф-ла I], мол.м. 289,3; безвкусные желтые кристаллы со слабым запахом ванилина; легко раств. в водных р-рах к-т и щелочей, плохо - в 95%-ном этаноле, практически не раств. в воде. Получают конденсацией изониазида (П) с ванилином (Ш):

Фтивазид- противотуберкулезное ср-во, подавляет размножение микобактерий туберкулеза. Терапевтич. эффект обусловлен образованием в организме биологически активного метаболита - изониазида. А.И. Боканов.
*Подобраны с помощью LLM, верифицированы, но возможны неточности.
Синонимы/примеры:*
Фтивазид; Тивиазид; Изониазид тиоамид
*подобраны ИИ, возможны неточности
Ещё по теме
Фтивазид — свойства и применение
Фтивазид — основные характеристики
Фталимид — характеристики и применение
ФТИЗОЭТАМ — инструкция по применению
Фтивазид — свойства и растворимость
Феназид — применение, противопоказания, побочные эффекты
Фтизион — гомеопатическое средство при туберкулёзе
Фтазин — характеристики и растворимость
Диэтилфталат — характеристики и влияние на организм
Фтазин — применение и особенности препарата
Флуацизин — применение, противопоказания и побочные действия
Фтизопирам — комбинированное противотуберкулёзное средство
Фторацизин — свойства и применение
Дополнения к описанию Фтивазида: