Терпеновые радикалы. А-75
75.1. — Простые радикалы ациклических терпеновых углеводородов называют и нумеруют по правилу А—3.5. Тривиальные названия геранил, нерил, линалил и фитил сохраняются только для незамещенных радикалов.
75.2. — Радикалы, получаемые из ментана, пинана, туйана, карана, борнана, норкарана, норпинана и норборнана, называют в соответствии с принципами, изложенными в правилах А—1.2 и А—11.4. Насыщенные радикалы пинана называются пинанил, пинанилен и пинанилиден. Нумерация углеводородов сохраняется, и точка или точки присоединения в кольце или в боковой цепи должны получить по возможности настолько наиболее низкие номера, насколько это допускает установленная для углеводорода нумерация.
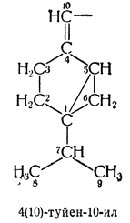
Примеры:





75.3. — Радикалы, не упомянутые в правилах А—75.1 и А—75.2, называют по правилам А—11 и А—31.4.
В. Основные гетероциклические системы. Развитие системы Ганча — Видмана. В-1
1.1. — Моноциклические соединения, содержащие один или несколько гетероатомов в не более чем десятичленном кольце, называют, комбинируя подходящий префикс или префиксы из табл. I (опуская «а», где это необходимо) с корнем из табл. II. Степень гидрогенизации указывается либо в корне, как это показано в табл. II, либо префиксами дигидро-, тетрагидро- и т. д. в соответствии с правилом В—1.2.


* Соответствует максимально возможному числу некумулированных двойных связей, причем гетероэлемент имеет нормальную валентность, указанную в табл. I.
** Для фосфора, мышьяка, сурьмы см. примечание к табл. I.
*** Насыщение выражается добавлением префикса пергидро- к названию соответствующего ненасыщенного соединения.
4* Не применимо к кремнию, германию, олову и свинцу. В этом случае к названию соответствующего ненасыщенного соединения добавляется префикс пергидро-.
5* Слоги, обозначающие величину колец, содержащих 3, 4 или 7—10 членов, происходят: «ир» от tri-; «ет» от tetra-; «еп» от hepta-; «оц» и «ок» от octa-; «он» от nопа-; «ец» и «ек» от deca-.
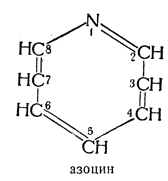
Примеры:

1.2. — Гетероциклические системы, у которых ненасыщенность меньше, чем соответствующая максимально возможному числу некумулированных двойных связей, называют, применяя префиксы дигидро-, тетрагидро- и т. д.
В случае четырех- и пятичленных циклических структур, содержащих одну двойную связь, тогда как возможно наличие двух некумулированных двойных связей, применяется специальная терминология.

Примеры:

1.3. — Повторение одного и того же гетероатома обозначается префиксом ди-, три- и г. д., который ставится перед соответствующим «а»-обозначением гетероатома (табл. I).
Пример:

1.4. — Если в одном и том же названии встречаются два или более разных «а»-обозначений гетероатомов, их перечисляют в порядке уменьшения для соответствующих элементов номеров групп и возрастания атомных номеров внутри групп периодической системы, т. е. так, как они расположены в табл. 1.
Примеры:

1.51. — Положение единственного гетероатома определяет нумерацию моноциклического соединения.
Пример:

1.52. — Когда одни и те же гетероатомы встречаются в кольце несколько раз, направление нумерации выбирают так, чтобы они получили наиболее низкие номера.
Пример:

1.53. — Если в молекуле присутствуют различные гетероатомы, номером 1 обозначают тот, который находится в табл. I выше других; затем нумерацию ведут так, чтобы гетероатомы получили наиболее низкие номера.
Примеры:

