Конденсированные гетероциклические системы. В-3
3.1. — Гетероциклические соединения с орто-конденсированными и орто- и пери-конденсированными кольцами называют по тем же правилам, что и конденсированные углеводороды (правило А—21). Компоненты называют по правилам А—21, В—1 и В—2. Основным компонентом должен быть гетероцикл. Если есть возможность выбора, основной компонент выбирают в следующем порядке:
(а) Азотсодержащий компонент.
Пример:

(b) Компонент, содержащий гетероатом (кроме азота), расположенный в табл. I как можно выше. Пример:

(с) Компонент, содержащий наибольшее число колец. Пример:

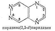
(d) Компонент, содержащий самое большое из возможных кольцо. Пример:

(е) Компонент, содержащий наибольшее число любых гетероатомов. Пример:

(f) Компонент с наиболее разнообразными гетероатомами. Примеры:

(g) Компонент, содержащий наибольшее число гетероатомов, перечисленных в табл. I первыми. Пример:

(h) Если есть возможность выбора между компонентами одинаковой величины, содержащими одинаковое число одинаковых гетероатомов, то в качестве основного следует принять компонент, в котором, если рассматривать его независимо, гетероатомы имеют наиболее низкие номера.
Примерш

3.2. — Если общим для конденсированных колец является гетероатом, названия компонентов выбирают так, чтобы они оба отвечали системам с гетероатомом.
Пример:

3.3. — Могут быть использованы следующие префиксы, выражающие наличие конденсированной системы; фуро-, имидазо-, изохино-, пиридо-, пиримидо-, хино- и тиено-.
Примеры:

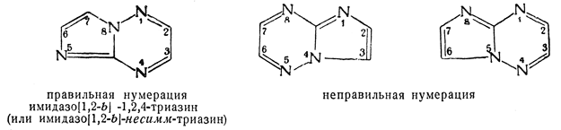
3.4. — Полностью конденсированные гетероциклические системы располагают и нумеруют в соответствии с принципами правила А—22. Если есть возможность выбора, систему следует ориентировать следующим образом:
(а) Гетероатомы должны получить наименьшие номера,
Примеры:

(b) Гетероатомы должны получить наименьшие номера в соответствии с табл. I.
Пример:

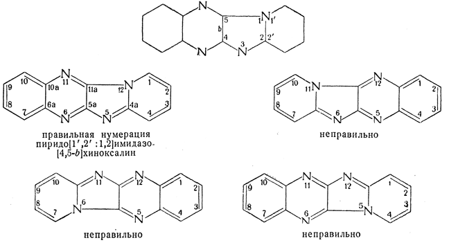
(с) Углеродные атомы, общие для двух или более колец, должны следовать за атомами с возможно более низкими номерами (см. правила А—22.2 и А—22.3). Гетероатом, общий для двух колец, нумеруется в соответствии с правилом В—3.4 (е).
Примеры:

В сложном названии с префиксом, показывающим сращение колец (т. е. когда требуется более одной пары скобок), точки сращения обозначают цифрами со штрихами и без штрихов, при этом цифры без штрихов даются кольцу, непосредственно присоединенному к основному компоненту.
Примеры:

(d) Насыщенные атомы (несущие «лишний» водород) должны получить по возможности низкие номера:

(е) Кольца нумеруются так же, как в углеводородах, но номерами обозначают все гетероатомы, в том числе и общие для двух или более колец. Внутренние гетероатомы нумеруют последними по кратчайшему расстоянию от предыдущего атома с самым большим номером.