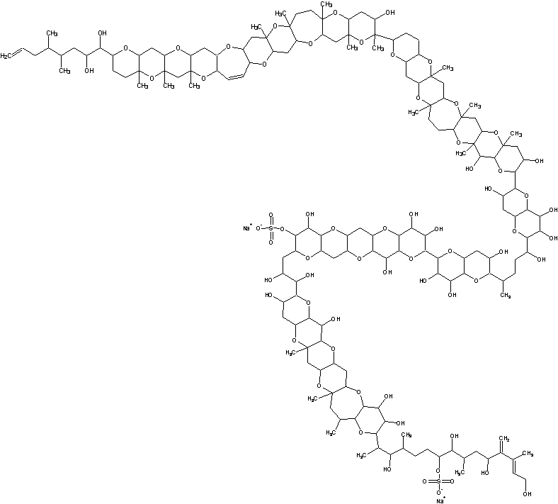
Майтотоксин

Брутто-формула (система Хилла): C165H258Na2O66S2
Молекулярная масса (в а.е.м.): 3407,886
Природные и антропогенные источники:
Продуцируется динофлагеллятами Gambierdiscus toxicus.Летальная доза (ЛД50, в мг/кг):
0,0002 (мыши, подкожно)- "Химическая энциклопедия" т.5 М.: Советская энциклопедия, 1999 стр. 529
- Племенков В.В. "Введение в химию природных соединений" Казань, 2001 стр. 334