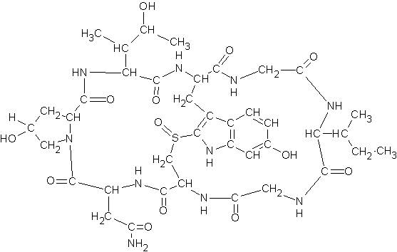
Гамма-аманитин

Брутто-формула (система Хилла): C39H54N10O13S
Молекулярная масса (в а.е.м.): 902,97026
Летальная доза (ЛД50, в мг/кг):
7 (мыши, перорально)- "Химическая энциклопедия" т.5 М.: Советская энциклопедия, 1999 стр. 529
Источники информации:
Синонимы/примеры:*
Аматоксин; α-аманитин
*подобраны ИИ, возможны неточности
Ещё по теме
Аминостигмин — применение и свойства
Гамма-аминомасляная кислота — характеристики и применение
Аминалон — особенности и применение гамма-аминомасляной кислоты
Гамма-аминомасляная кислота — функции и роль в организме
Аминостигмин — свойства и применение
БАД Мегамин — свойства и применение
2-Метоксианилин — характеристики и особенности
Метионин — свойства и применение
ω-Аминопеларгоновая и 9-аминононановая кислоты — свойства и применение