Форум
Химия
Неорганическая
Органическая
Биологическая химия
Коллоидная
Биохимия
Токсикологическая
Экологическая
Квантовая
Номенклатура органическая
Углеводы
Моделирование ХТС
Стандартизация
Теплотехника
Сервисы
Таблица Менделеева
Таблица растворимости
Неорганические реакции
Молярные массы
Термодинамические свойства
Электронное строение атомов
Игра «Таблица Менделеева»
Гальванопара
Редактор формул
Справочники
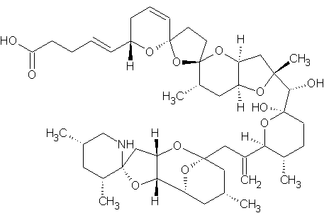
Азаспирацид-3
Брутто-формула (система Хилла): C
4
7
H
7
1
NO
1
2
Молекулярная масса (в а.е.м.): 842,06614
Летальная доза (ЛД50, в мг/кг):
0,14 (мыши, внутрибрюшинно)
Источники информации:
Rochnik LXXIV, №5-6, 2005 стр. 172-174
Ещё по теме
Токсичность и метаболизм 2,4,2,4-тетрахлордифенилсульфида
Показать еще