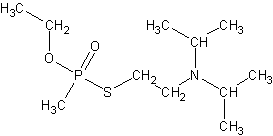
O-этил-S-2-диизопропиламиноэтил-метилтиофосфонат

Синонимы:
EA 1701VX
ви-газ
метилтиофосфоновой кислоты O-этиловый S-2-(диизопропиламино)этиловый эфир
Внешний вид:
бесцветн. жидкостьБрутто-формула (система Хилла): C11H26NO2PS
CAS №: 5-782-69-9
Молекулярная масса (в а.е.м.): 267,37
Температура плавления (в °C): -39
Вкус, запах, гигроскопичность:
гигроскопиченПлотность:
1,0083 (20°C, г/см3)Летальная доза (ЛД50, в мг/кг):
0,07 (человек, перорально)0,1 (человек, накожно)
Применение:
Отравляющее вещество нервно-паралитического действия.
Дополнительная информация:
Летучесть = 0,0105 мг/л (25 С).
- "Possible Long-Term Health Effects of Short-Term Exposure to Chemical Agents. Volume 1: Anticholinesterases and Anticholinergics" Washington, 1982 стр. A1
- "Химическая энциклопедия" т.5 М.: Советская энциклопедия, 1999 стр. 495
Источники информации:
Синонимы/примеры:*
VX; EA 1701; TX 60
*подобраны ИИ, возможны неточности