Фузидиевая кислота
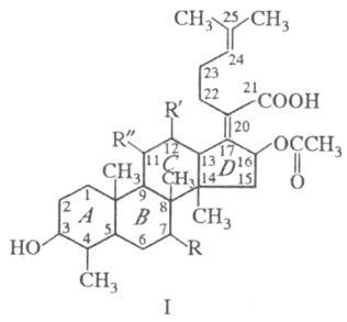
ФУЗИДИЕВАЯ КИСЛОТА (ф-ла I; R = R' = H, R: = OH), мол. м. 516,72; бесцв. кристаллы; плохо раств. в воде, лучше в этаноле; рКа 7,25 и 5,8 соотв. в 80%-ном этаноле и воде. В УФ спектре фузидиевая кислота имеет максимум поглощения при 220 нм (
8·103 , этанол); в ИК спектрах полосы поглощения при 3420, 3510, 1697, 1725, 1260 см-1.

Фузидиевая кислота- антибиотик, выделяемый из культуральной жидкости гриба Fusidium coccineum. B пром-сти фузидиевую кислоту экстрагируют из фильтрата культуральной жидкости орг. р-рителем, реэкстра-гируют водным щелочным р-ром и кристаллизуют из концентрир. реэкстракта.
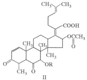
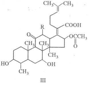
Фузидиевая кислота близка по строению к стероидам. 4 кольца циклич. системы фузидиевой кислоты находятся в транс-син-транс-анти-положе-нии, что придает кольцу В конформацию "ванны", в то время как кольца А и С имеют конформацию "кресла". Наиб. близки по строению к фузидиевой кислоте такие антибиотики, как гельво-левая [II; R = C(O)CH3] и гельволиновая (II; R = H) к-ты, а также виридоминовые к-ты А (Ш; R = H), В (Ш; R = ОН) и С (I; R = OH, R' = R: = H).


В мед. практике применяют фузидиевую кислоту и ее натриевую (фузи-дин-натрий, фузидат натрия, фузидин, рамицин) и диэтанол-аммониевую соли, к-рые представляют собой бесцв. кристаллы, хорошо растворимые в воде и этаноле.
Фузидиевая кислота активна гл. обр. в отношении грамположит. микроорганизмов (стафилококки, менингококки, гонококки). Она подавляет гидролиз гуанозинтрифосфата, препятствуя диссоциации образующегося при этом комплекса, включающего рибосомы, G-фактор и гуанозиндифосфат. Фузидиевая кислота может оказывать противовирусное действие. Важная особенность фузидиевой кислоты и ее солей - способность проникать в костную ткань, что позволяет лечить воспалит. процессы в областях организма, малодоступных для др. лек. ср-в.
Фузидиевую кислоту используют при заболеваниях, вызываемых микроорганизмами, устойчивыми к др. антибиотикам. Она малотоксична, практически не оказывает побочного действия.
Лит.: Навашин С.M., Фомина И. П., Рациональная антибиотикоте-рапия, 4 изд., M., 1982; Godtfredsen W. О., Fusidic acid and some related antibiotics, Cph., 1967; Bodley J.W., Go d tfred s en W. О., "Biochem. Biophys. Res. Comm.", 1972, v. 46, № 2, p. 871-77. Г. С. Сучкова.