Леворин

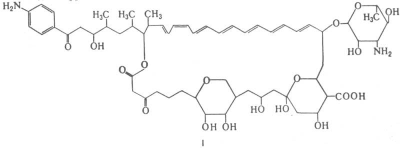
ЛЕВОРИН, полиеновый антибиотик, продуцируемый актиномицетом Actinomyces levoris. Представляет собой смесь компонентов, основной компонент имеет строение ф-лы I.
561_579-43.jpg
Аморфный порошок желтого цвета без вкуса и запаха, не раств. в воде, хлороформе и ацетоне, слабо раств. в этаноле; разрушается под действием света, влаги и высоких т-р; ионизируется в кислой и щелочной средах; в УФ спектре lмакс 358-360, 378-380 и 400-404 нм. Леворин активен в отношении дрожжевых грибков, в частности Candida и нек-рых простейших (трихомонады и др.) в концентрациях 0,001-0,003 мкг/мл. Оказывает лечебный эффект при аденоме предстательной железы. В медицине используют водорастворимую Na-соль. Г. Я. Шварц.

Комментарии*

Дополнения к описанию Леворина:

  • Механизм действия: связывается с эргостеролом в мембранах грибковых клеток, образуя поры и нарушая их целостность, что приводит к потере клеточных компонентов и гибели клетки.
  • Применение: используется преимущественно для лечения кандидозов (молочницы) слизистых оболочек полости рта, желудочно-кишечного тракта и кожных покровов.
  • Формы выпуска: мазь для наружного применения, таблетки для рассасывания (при оральном кандидозе) и натриевая соль для приготовления растворов.
  • Особенности: обладает фунгицидным действием, но не эффективен против бактерий. Применяется местно, так как обладает высокой токсичностью при системном введении.
*Подобраны с помощью LLM, верифицированы, но возможны неточности.
Синонимы/примеры:* Леворин А; Леворин В; Леворин М; Леворин АМ
*подобраны ИИ, возможны неточности
Ещё по теме
Леворин — инструкция по применению и особенности препарата
Леворин — показания, противопоказания, побочные эффекты
Леворин — инструкция по применению и показания
Леворин натриевая соль — применение, противопоказания, побочные действия
Левориновая мазь — применение и особенности
Леворин — свойства и применение
Леворина натриевая соль — инструкция по применению
Лейковорин-Тева — инструкция по применению
Ловелин — антисептическое средство из России
Лютенурин — свойства и применение
Левомицетин — инструкция по применению и особенности препарата
Лобелин — свойства и применение
Левовинизоль — инструкция по применению и особенности препарата
Винилин — применение и свойства
Нифуртоинол — противомикробный препарат из Словении
Лейковорин-Лэнс — инструкция по применению и особенности препарата
Левомицетин стеарат — применение, противопоказания и побочные эффекты
Левомицетин — свойства и применение