Дитразина цитрат

Синонимы:
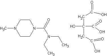
1-метил-4-(N,N-диэтилкарбамоил)пиперизина цитратлоксуран
Внешний вид:
бел. кристаллыБрутто-формула (система Хилла): C16H29N3O8
Формула в виде текста: CH3N(CH2)2NCON(C2H5)2 HOC(COOH)(CH2COOH)2
Молекулярная масса (в а.е.м.): 391,42
Растворимость (в г/100 г или характеристика):
вода: легко растворимэтанол: трудно растворим
Применение:
Лекарственное средство: противоглистное.
- Машковский М.Д. "Лекарственные средства" 13-е изд. т.2 Харьков:Торсинг, 1997 стр. 399
Источники информации:
Синонимы/примеры:*
Диэтилкарбамазина цитрат; Гетразан; Карбамазин; Нотезин
*подобраны ИИ, возможны неточности