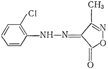
4-(2-Хлорфенилгидразон)-3-метилизоксазолон-5; дразоксолон

Применяется как фунгицид. Выпускается в виде 50% смачивающегося порошка.
Физические свойства. Т. плавл. 167°, давл. паров 4×10–6 мм рт. ст. (30°). Плохо растворяется в воде, хорошо — в спиртах.
Токсическое действие. В картине отравления адинамия сменялась судорогами, заканчивавшимися гибелью животных. У собак, кроме того, слюнотечение, рвота, затрудненное дыхание. При введении в желудок для белых мышей и крыс ЛД50 = 126÷129 мг/кг, для кроликов 100—200 мг/кг, для морских свинок 12,5—25,0 мг/кг, для собак 20 мг/кг.
Μ = 338,45
Μ = 237,65
Действие на кожу. Аппликация 10% суспензии на ушную раковину морских свинок вызывала повышение чувствительности к препарату. Проникновение через неповрежденную кожу (по результатам опытов с радиоактивным препаратом) незначительно.
Меры предупреждения. При использовании в качестве ядохимиката см. [52].