Свинца тринитрорезорцинат
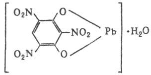
СВИНЦА ТРИНИТРОРЕЗОРЦИНАТ (моногидрат 2,4,6-тринитрорезорцината свинца, стифнат свинца, ТНРС), мол. м. 468,30; кристаллы от золотисто-желтого до темно-красного цвета; плотн. 3,095 г/см3;
—841 кДж/моль,
-4655 кДж/кг. Практически не раств. в воде (0,09% по массе при 20 °С) и орг. р-рителях; раств. в конц. р-ре ацетата аммония. При нагр. выше 100 °С теряет кристаллизац. воду, при ~ 200 °С разлагается, при ~ 240 °С взрывается; разлагается также под действием света и минер. к-т; с металлами не взаимодействует.

Свинца тринитрорезорцинат-инициирующее ВВ. Чувствителен к тепловому воздействию, менее чувствителен к удару и трению, чем гремучая ртуть. Скорость горения при обычных условиях 25-30 см/с; теплота взрыва 1554 кДж/кг.
Получают свинца тринитрорезорцинат из тринитрорезорцина по р-ции:

Применяют в индивидуальном виде или в виде смесей в капсюлях-детонаторах для воспламенения азида Pb, a также в капсюлях-воспламенителях и воспламенителях. Т. всп. 275 °С.
Лит.: Багал Л. И., Химия и технология инициирующих взрывчатых веществ, М., 1975. А. Е. Фогельзанг.
Дополнения: