Строфантин
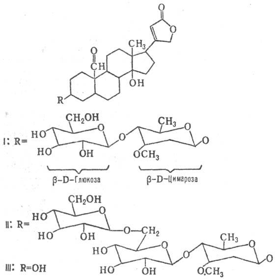
СТРОФАНТИН К, смесь сердечных гликозидов, выделяемых из семян строфанта Комбе (Strophanthus Kombe Oliver) семейства кутровых (Аросупасеае). Осн. компоненты-К-строфантин-b (ф-ла I) и К-строфантозид (II), в к-рых агликоном является строфантидин (III), а углеводные части-соотв. да- и трисахариды, содержащие остатки b-D-глюкозы и b-D-цимарозы.

Строфантин К-бесцв. кристаллы, трудно раств. в воде и спиртах, практически не раств. в хлороформе и диэтиловом эфире. Строфантин К-основной представитель т.наз. полярных (гидрофильных) сердечных гликозидов, к-рые мало раств. в липидах и плохо всасываются из желудочно-кишечного тракта, поэтому применяется внутривенно. Строфантин К характеризуется высокой кардиотонич. активностью (усиливает силу и замедляет ритм сердечных сокращений), быстротой и малой продолжительностью действия. Применяется для лечения сердечно-сосудистой недостаточности. С.Д.Южаков.
Дополнения к описанию Строфантина К: