Хромазурол

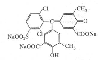
ХРОМАЗУРОЛ S, мол. м. 604,51, темно-красные кристаллы, хорошо раств. в воде. Кислотно-основный индикатор. Используется также для фотометрич. определения Al, Be, Pd, Sc, Zr, Cu, в составе тройных комплексов с ПАВ. Окрашенные р-ры А1 с хромазуролом стабильны даже при высоких концентрациях элемента. Взаимод. с А1 сопровождается резким переходом желтой окраски р-ра (6010-46.jpg 430 нм) в фиолетово-синюю (6010-47.jpg 545 нм) при рН 5,3-6,1, предел обнаружения 0,006 мкг/мл.

6010-48.jpg

Лит.: Тихонов В. Н., Аналитическая химия алюминия, М., 1971; Саввин СБ., Чернова Р.К., Штыков С.Н., Поверхностно-активные вещества, М., 1991.

А. В. Михайлова.

Комментарии*

Дополнения к описанию хромазурола S:

  • Структура: Относится к классу трифенилметановых красителей.
  • Механизм действия как индикатора: Является хелатообразующим реагентом. Изменение цвета связано с образованием прочного внутрикомплексного соединения (хелата) с ионом металла, что вызывает сдвиг в спектре поглощения (батохромный сдвиг).
  • Применение с ПАВ: Использование в составе тройных комплексов с поверхностно-активными веществами (например, цетилтриметиламмоний бромидом) значительно повышает чувствительность и селективность фотометрического определения за счет мицеллярного усиления окраски.
  • Селективность: Для повышения селективности при определении алюминия часто требуется маскирование мешающих ионов (например, с помощью фторид-ионов, которые образуют с Al³⁺ более прочный, но бесцветный комплекс).
*Подобраны с помощью LLM, верифицированы, но возможны неточности.
Синонимы/примеры:* Хромазурол S; Эриохромцианин R; Понтоцианол S
*подобраны ИИ, возможны неточности