Барбамил

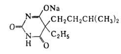
БАРБАМИЛ (амитал натрий, 5-этил-5-изоамилбарбитурат натрия), мол. м.248,25; бесцв. гигроскопичные кристаллы; т. пл. 156°С; хорошо раств. в воде и этаноле.
1046-3.jpg

Получают конденсацией диэтилового эфира 5-этил-5-изоамилмалоновой к-ты с мочевиной в присут. алкоголята Na и взаимод. образовавшейся 5-этил-5-изоамилбарбитуровой к-ты с NaOH. Барбамил-снотворное и противосудорожное ср-во; оказывает также успокаивающее действие. Г. Я. Шварц.

Комментарии*

Дополнения к описанию барбамила:

  • Фармакологическая классификация: Относится к барбитуратам короткого действия
  • Механизм действия: Усиливает действие нейромедиатора ГАМК (гамма-аминомасляной кислоты) в центральной нервной системе
  • Основные применения:
    • Кратковременное лечение бессонницы
    • Предоперационная седация
    • Купирование эпилептических приступов и судорожных состояний
  • Безопасность: Высокий риск развития толерантности, физической и психологической зависимости
  • Текущий статус: В современной медицине применение значительно ограничено из-за узкого терапевтического окна и риска передозировки, заменен более безопасными препаратами (бензодиазепины, Z-гипнотики)
*Подобраны с помощью LLM, верифицированы, но возможны неточности.
Синонимы/примеры:* Барбитал; Веронал; Диэтилбарбитуровая кислота; Диэтилмалонилмочевина
*подобраны ИИ, возможны неточности