Циклохлоротин

Внешний вид:
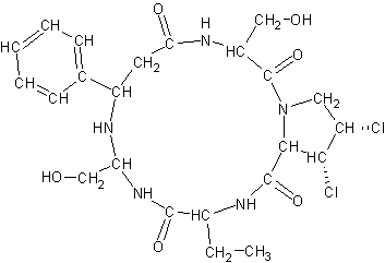
бел. кристаллыБрутто-формула (система Хилла): C23H31Cl2N5O6
Молекулярная масса (в а.е.м.): 544,43
Температура плавления (в °C): 251
Природные и антропогенные источники:
Продуцируется грибом Penicillium islandicum.Летальная доза (ЛД50, в мг/кг):
5 (крысы, перорально)0,5 (крысы, подкожно)
5 (морские свинки, перорально)
0,5 (морские свинки, подкожно)
5 (мыши, перорально)
0,475 (мыши, подкожно)
0,4 (мыши, внутрибрюшинно)
Симптомы острого отравления:
Гепатотоксичен, вызывает респираторную недостаточность и геморрагические поражения кишечника. Поражает сердечно-сосудистую систему. Вызывает судороги.
Аналитические
Имеет один максимум поглощения при 257 нм.
Дополнительная информация:
Циклопептид.
- "Химическая энциклопедия" т.5 М.: Советская энциклопедия, 1999 стр. 529-530
- Елинов Н.П. "Химическая микробиология" М. 1989 стр. 295
- Тутельян В.А., Кравченко Л.В. "Микотоксины" М.: Медицина, 1985 стр. 232
Источники информации:
Ещё по теме
Циклосерин — свойства и применение антибиотика
Трихлорацетонитрил — свойства и опасность
2,2,3-Трихлорпропионитрил — свойства и токсичность
Тетрахлорхинон — характеристики и токсичность
Хлорпикрин — характеристики и применение
Токсичность тетрациклинов
α-Хлорантрахинон и 1-хлорантрахинон — характеристики и опасность
Циклосерин — свойства и применение
Хлорпикрин — характеристики и применение
Хлорпикрин — характеристики и применение