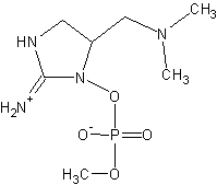
Анатоксин-a(s)

Брутто-формула (система Хилла): C7H17N4O4P
Молекулярная масса (в а.е.м.): 252,21
Природные и антропогенные источники:
Выделен из штамма NRC 527-17 пресноводной цианобактерии Anabaena flos-aquae.Летальная доза (ЛД50, в мг/кг):
0,02 (мыши, внутрибрюшинно)Механизм действия:
Является неконкурентным необратимым ингибитором антихолинэстераз; имеет сродство к ферменту 0,5 мг/мл (в 100 раз большее чем у диизопропилфторфосфата).
Симптомы острого отравления:
Вызывает у цыплят опистотонус, у мышей - вязкое слюноотделение (по англ. salivation - отсюда появился индекс s) и слезотечение, у крыс - хромадакриорею (кровавые слезы) и всех животных недержание мочи, мышечную слабость, конвульсии и дефекацию перед смертью из-за остановки дыхания. Отмечены также дозозависимые судороги конечностей в течение 1-2 мин после смерти.
Дополнительная информация:
Стабилен в кислых растворах, нестабилен в щелочных. Имеет низкое поглощение в УФ-свете, дает положительную реакцию в алкалоидном тесте.
- "Химическая энциклопедия" т.5 М.: Советская энциклопедия, 1999 стр. 532
- Успехи современной биологии №2 1992 стр. 218-219