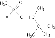
Зоман

Синонимы:
EA 1210GD
soman
метилфторфосфоновой кислоты пинаколиловый эфир
Внешний вид:
бесцветн. жидкостьБрутто-формула (система Хилла): C7H16FO2P
CAS №: 96-64-0
Молекулярная масса (в а.е.м.): 182,17
Температура плавления (в °C): -80
Температура кипения (в °C): 190
Температура разложения (в °C): 190
Растворимость (в г/100 г или характеристика):
вода: 1,5 (20°C) Вкус, запах, гигроскопичность:
запах: камфорыПлотность:
1,0131 (20°C, г/см3)Показатель преломления (для D-линии натрия):
1,408 (20°C)Давление паров (в мм.рт.ст.):
0,2 (42°C)Летальная доза (ЛД50, в мг/кг):
0,06 (мыши, подкожно)0,03 (человек, перорально)
2 (человек, накожно)
Фармакологическое взаимодействие:
После предварительного введения мышам (п/к) 50 мг/кг 2-(о-крезил)-4H-1:3:2-бенздиокса-фосфорин-2-оксида (CBDP) токсичность зомана возрастает в 17,8 раза (ЛД50 понижается с 370 до 20,8 мкг/кг).
Применение:
Боевое отравляющее вещество нервно-паралитического действия.
- "Possible Long-Term Health Effects of Short-Term Exposure to Chemical Agents. Volume 1: Anticholinesterases and Anticholinergics" Washington, 1982 стр. A2
- "Химическая энциклопедия" т.2 М.: Советская энциклопедия, 1990 стр. 175
- РЖ Токсикология, Отдельный выпуск, №11 1979 стр. 68
- Франке З. "Химия отравляющих веществ" т.1 М.:Химия, 1973 стр. 294, 315
Источники информации:
Синонимы/примеры:*
GD; PF 3; EA 1210; Трилон
*подобраны ИИ, возможны неточности
Ещё по теме
Зоман — свойства и защита
Зоман — свойства и опасность
Тиазон — свойства и применение
Диазоаминобензол — свойства и токсичность
2-Меркаптобензтиазол — свойства и токсичность
3,5-Дииод-4-гидроксибензонитрил — свойства и токсичность
Табун — свойства и применение отравляющего вещества
N,N-Диэтил-2-бензтиазолилсульфенамид — свойства и токсичность
Этилен-N,N-бисдитиокарбамат цинка — свойства и применение
Фенилацетонитрил и его токсическое действие
Диэтаноламин — свойства и применение
Отравляющие вещества — свойства и применение