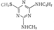
Семерон; 2-изопропиламино-4-метиламино-6-метилтио-симм-триазин; десметрин; Г-34360;топусин

Применяется в качестве гербицида. Выпускается в форме 50% (семерон-50, А-2193) или 25% смачивающегося порошка. Используется 5% раствор.
Получается аналогично прометрину.
Физические свойства. Белые кристаллы с запахом плесени. Т. плавл. 84—86°С. Раств. в воде ~ 0,058% (20°). Продолжительность действия в почве 6—8 недель.
Токсическое действие. Животные. Относительно малотоксичен. При введении в желудок водной эмульсии семерона для белых крыс ЛД50 = 2,0 г/кг. Клинически — слабость, учащение дыхания, нарушение координации движений, плохое поедание корма, нарушение функции кишечника, парезы конечностей. На вскрытии — полнокровие паренхиматозных органов, вздутие желудка и кишечника, кровоизлияние в слизистую желудка и в легкие. Слабо раздражает кожу при отсутствии признаков общетоксического действия.
Человек. При концентрации в зоне дыхания работающих 0,003—0,4 мг/м3 (на одежде 0,001—0,3 мг/дм2, на коже — 0,001—0,07 мг/дм2) не отмечено существенных изменений со стороны сердечно-сосудистой, дыхательной и вегетативной нервной систем, а также нарушений обоняния, терморегуляции и состава форменных элементов крови.
Предельно допустимая концентрация 2 мг/м3 [41].
Индивидуальная защита. Меры предупреждения общие для работы с пестицидами. Респираторы (клапанный, противопылевой), спецодежда. Для ее обезвреживания достаточна стирка в горячем мыльно-содовом растворе. Работа на обработанных участках не ранее чем через 3 суток.