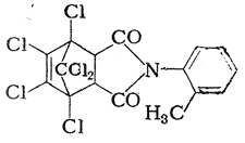
Гексимид; N-о-толил-1,2,3,4,7,7-гексахлор-1,4-метано-1,4,5,6-тетрагидрофталимид


Μ = 459,99

Применяется в качестве фунгицида для опрыскивания яблонь.

Получается конденсацией хлорендикового ангидрида с о-толуидином в среде кипящего толуола при температуре выше 100 °С.

Физические свойства. Белые кристаллы. Т. плавл. 185 °С. Плохо растворяется в воде, спирте.

Токсическое действие. Введение крысам 20 г/кг однократно не приводило к гибели. Гибель вызывало трехкратное введение по 30 г/кг [20, с. 232].

У человека порог ощущения запаха 1,16 мг/л.

Синонимы/примеры:* Гексахлорциклопентадиенил-о-толилимид; Гексахлоргексагидрофталимид; N-(2-метилфенил)-1,2,3,4,7,7-гексахлорбицикло[2.2.1]гепт-5-ен-2,3-дикарбоксимид
*подобраны ИИ, возможны неточности