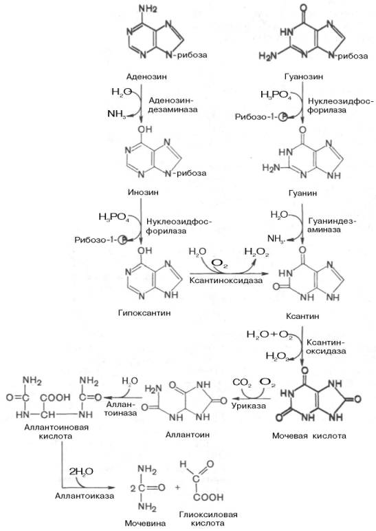
Распад пуриновых нуклеозидов
Образовавшиеся при гидролизе пуриновые нуклеозиды – аденозин и гуано-зин – подвергаются ферментативному распаду в организме животных вплоть до образования конечного продукта – мочевой кислоты, которая выводится с мочой из организма. У человека, приматов, большинства животных, птиц и некоторых рептилий мочевая кислота является конечным продуктом пуринового обмена. У других рептилий и некоторых млекопитающих мочевая кислота расщепляется до аллантоина и у рыб – до аллантоиновой кислоты и мочевины. Последовательность всех этих превращений, катализируемых специфическими ферментами, можно представить в виде следующей схемы:

Синонимы/примеры:*
Пурин нуклеозид фосфорилаза; ПНФ
*подобраны ИИ, возможны неточности
Ещё по теме
Пути распада нуклеотидов
Пуриновые основания — строение и роль в биологии
Метаболические превращения в организмах
Биосинтез нуклеотидов — механизмы и регуляция
Деградация аминокислот — механизмы и роль в организме
Уреаза — свойства и применение фермента