Промедол

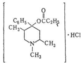
ПРОМЕДОЛ (гидрохлорид 1, 2, 5-триметил-4-пропионил-окси-4-фенилпиперидина), мол.м. 311,86; бесцв. кристаллы горького вкуса; т. пл. 222-223 °С; хорошо раств. в воде, хуже в этаноле, не раств. в диэтиле-новом эфире и хлороформе. Получают из винилэтинилди-метилкарбинола через 1,2,5-триметил-4-пиперидон.

4020-3.jpg

По действию на центр. нервную систему промедол близок к морфину, но менее активен, меньше угнетает дыхание, не активирует блуждающий нерв и рвотный центр. Умеренно сни жает тонус гладкой мускулатуры желудочно-кишечного тракта и усиливает сокращения матки. Применяют промедол как болеутоляющее ср-во при травмах и разл. заболеваниях, сопровождающихся болевым синдромом, при подготовке к операции и в послеоперац. период, для обезболивания родов.

А. А. Бунятян, А. В. Мещеряков.

Комментарии*

Дополнения к описанию Промедола:

  • Классификация: Относится к синтетическим опиоидным анальгетикам.
  • Механизм действия: Как и другие опиоиды, агонист μ-опиоидных рецепторов в центральной нервной системе.
  • Фармакокинетика: Обладает хорошей биодоступностью при пероральном применении, эффект наступает через 10-20 минут при парентеральном введении.
  • Побочные эффекты: Может вызывать эйфорию, седацию, тошноту, запор, головокружение и, в редких случаях, судороги.
  • Правовой статус: Во многих странах, включая Россию, является сильнодействующим лекарственным средством, подлежащим строгому предметно-количественному учету (ПКУ) из-за потенциального риска развития зависимости.
*Подобраны с помощью LLM, верифицированы, но возможны неточности.
Синонимы/примеры:* Тримеперидин; Меперидин
*подобраны ИИ, возможны неточности
Ещё по теме
Промедол — свойства и применение
Промедол — свойства и применение
Промедол — описание и применение
Просидол — применение и особенности препарата
Просидол — инструкция по применению и особенности препарата
Пенфлюридол — особенности и применение
Трамадол — механизм действия и применение
Трамадол — описание, применение и противопоказания
Трамадол Никомед — инструкция по применению
Прополис — свойства и применение
Трамадол — инструкция по применению
Трамадол — инструкция по применению
Мепротан — свойства и применение
Индол и 2,3-бензпиррол — свойства и применение
Трамадол гидрохлорид — показания и противопоказания
Трамадол гидрохлорид — особенности применения и побочные эффекты
Мексидол — описание и применение препарата
Трамадол — инструкция по применению и особенности препарата
Трамолин — инструкция по применению и побочные эффекты