Склареол
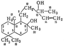
СКЛАРЕОЛ (14-лабден-8,13-диол), мол. м. 308,51; бесцв. кристаллы; т. пл. 105,5-106 °С, т. кип. 218-220 °С/19 мм рт. ст., 188-189 °С/3 мм рт. ст.;
0,9568;
1,4859;
— 6° (абс. этанол); раств. в этаноле, не раств. в воде; гидрохлорид, т. пл. 134-135 °С; дигидро-склареол, т. пл. 114-116°С. Содержится в мускатном шалфее, из к-рого склареол получают экстрагированием зеленых частей растений после удаления из них эфирного масла. Применяют для получения амбриаля и амброксида (см. Амбра).

Л.А.Хейфиц.
*Подобраны с помощью LLM, верифицированы, но возможны неточности.
Синонимы/примеры:*
Склареолоксид; Лабда-8(17),12,14-триен-13-ол
*подобраны ИИ, возможны неточности
Ещё по теме
Склареол — свойства и применение
Лариксол — характеристики и применение
1-аллил-3,4-метилендиоксибензол
Линалоол — характеристики и применение
Лавандулол — что это и где применяется
Линалоол — характеристики и применение
Скатол — что это и где применяется
Салициловый спирт — свойства и применение
Полиэтилентерефталат — характеристики и применение
Вальтерилацетат — свойства и применение
Тетрасилан — характеристики и особенности
Аллилмеркаптан — характеристики и применение
Дополнения к описанию склареола: