Экстрагирование

ЭКСТРАГИРОВАНИЕ (от лат. extraho - вытягиваю, извлекаю), перевод одного или неск. компонентов из твердого пористого тела в жидкую фазу с помощью избират. р-рителя (экстрагента); один из массообменных процессов хим. технологии. Наряду с термином "экстрагирование" часто применяют термин "выщелачивание" (в англоязычной литературе "leaching"), назв. к-рого происходит от слова "щелочь". Действительно, в нек-рых технол. процессах извлечения р-р содержит щелочь; однако во мн. иных аналогичных процессах, также наз. "выщелачиванием", щелочь вообще не используется. Поэтому термин "экстрагирование", под к-рым понимают извлечение в системе твердое тело - жидкость, следует считать более общим и предпочтительным.
Экстрагирование существенно отличается от экстракции жидкостной, к-рая протекает в гетерог. системе жидкость - жидкость. При экстрагировании размеры твердых тел задаются предшествующими операциями (измельчение).
Различают два принципиально разных способа извлечения: экстрагирование растворенного в-ва и экстрагирование твердого в-ва. В случае экстрагирования растворенного в-ва пористый объем твердого тела заполнен р-ром целевого компонента, к-рый при извлечении диффундирует за пределы пористого тела в экстрагент. Классич. пример - извлечение сахара из свекловичной стружки при ее обработке горячей водой. Экстрагирование твердого в-ва происходит, если целевой компонент, заполняющий пористый объем твердого тела, находится в твердом состоянии. При обработке твердого тела экстрагентом диффузионной стадии предшествует стадия растворения целевого компонента. В обоих случаях пористый инертный скелет либо остается в неизмененном виде, либо подвергается определенным изменениям.
К осн. стадиям экстрагирования относят: 1) подготовку сырья и экстрагента (очистка и измельчение сырья, нагревание р-рителя); 2) непосредственное контактирование твердой и жидкой фаз в аппарате, наз. экстрактором; 3) разделение системы твердая фаза - р-р (отстаивание, фильтрование, центрифугирование).
Пром. экстрагенты должны обладать высокой избирательностью, легко регенерироваться и быть сравнительно дешевыми. Таким требованиям отвечают вода, этанол, бензин, бензол, СС14 ацетон, р-ры к-т, щелочей и солей.

На скорость и механизм экстрагирования существенно влияет структура твердых пористых тел, особенности строения к-рых определяются их природой и технол. обработкой на стадиях, предшествующих экстрагированию. Такие тела могут обладать изотропной или анизотропной структурой. Изотропные тела имеют одинаковое строение во всех направлениях. Этому условию отвечают тела, состоящие из весьма малых сцементированных между собой частиц, а также тела животного или растит. происхождения, обладающие клеточным строением. При измельчении изотропных тел возможно появление анизотропии. Для анизотропных тел может наблюдаться регулярная анизотропия. Так, в случае растит. объектов, имеющих систему капилляров, направление вдоль капилляра предпочтительно для диффузионного переноса в сравнении с направлением, перпендикулярным к капилляру. При нерегулярной анизотропии тело можно рассматривать как совокупность емкостей, отделенных одна от другой непроницаемыми перегородками. Особенно неблагоприятно для экстрагирования существование замкнутых областей, изолирующих заключенную в них жидкость от экстрагента.
В соответствии со вторым началом термодинамики при взаи-мод. твердой и жидкой фаз их состояние изменяется в направлении достижения равновесия, к-рое характеризуется равенством хим. потенциалов извлекаемого в-ва в объеме твердого тела и в осн. массе экстрагента. При извлечении растворенного в-ва это равносильно равенству его концентраций в обеих фазах; условие нарушается, если целевой компонент адсорбируется твердой фазой, тогда равновесие определяется изотермой адсорбции (см. Адсорбция). При извлечении твердого в-ва равновесие обусловлено р-римостью целевого компонента, находящегося в контакте с экстрагентом; при полном извлечении твердого компонента его концентрации в осн. массе р-ра и в пористом объеме выравниваются.
Кинетически экстрагирование подчиняется законам массообмена, конвективной и мол. диффузии (см. Диффузия), а также законам переноса извлекаемого в-ва из твердой фазы в жидкую (см. Переноса процессы). Движущая сила переноса целевого компонента - разность его хим. потенциалов в фазах. На практике для упрощения связи между скоростью процесса и составом материальных потоков движущую силу экстрагирования выражают через переменный во времени градиент концентраций извлекаемого в-ва в фазах.

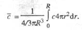
Массообмен при извлечении растворенного вещества. Концентрационное поле в объеме сферич. пористой частицы радиусом R (наиб. распространенный случай) с изотропной структурой м. б. описано дифференц. ур-нием диффузии в сферич. координатах:

6028-75.jpg

где с - концентрация в-ва, растворенного в пористом объеме твердого тела (целевого компонента); t - время; D - коэф. диффузии в-ва в порах частицы; r - радиальная координата (06028-76.jpgr6028-77.jpgR).
Диффундирующий из глубины пористого тела целевой компонент достигает его границ и переходит в экстрагент. Этот процесс выражается ур-нием:

6028-78.jpg

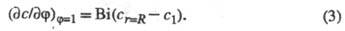
где К - коэф. массоотдачи;6028-79.jpgc1 - соотв. концентрация в-ва на пов-сти частицы и текущая концентрация в-ва в объеме экстрагента. Вводя безразмерные параметры j= r/R и Bi = KR/D, преобразуем ур-ние (2) к виду:

6028-80.jpg

Из ур-ния (3) становится ясным физ. смысл параметра Bi (диффузионное число Био; см. Подобия теория). При Bi6028-81.jpg параметр6028-82.jpg , т. е. концентрация в-ва на пов-сти частицы равна его концентрации в р-ре. Такие условия отвечают внутридиффузионному режиму (мол. диффузия), при к-ром экстракц. процесс протекает наиб. интенсивно. При Bi6028-83.jpg1 производная6028-84.jpg мала и с = const; соответствующий режим, наз. внешнедиффузионным (конвективная диффузия), достигается увеличением скорости обтекания твердых частиц жидкостью. Подбирая определенные условия, для обеспечения макс. интенсивности экстрагирования можно перевести внешнедиффузионный режим во внутридиффузионный.
Систему ур-ний (1) и (2) необходимо решать совместно с ур-нием материального баланса, устанавливающим зависимость между с и c1. Эта зависимость определяется схемой взаимод. фаз при экстрагировании (прямоток, противоток). Для прямоточного процесса:

6028-85.jpg

где V и W - соотв. объем всех пор твердого тела, содержащих р-р, и экстрагента, поступающего в единицу времени в экстрактор; с0 - начальная концентрация целевого компонента в порах; сн - начальная концентрация целевого компонента в экстрагенте;6028-86.jpg- осредненная (к моменту времени t)концентрация целевого компонента в пористом объеме. Последняя составляет:

6028-87.jpg

Для противоточного процесса:

6028-88.jpg

где ск - конечная концентрация целевого компонента в экстрагенте на выходе из экстрактора.
Система ур-ний (4) и (5) имеет решение:

6028-89.jpg

где6028-90.jpg= Dt/R2,6028-91.jpg= V/W; t = l/v (l - длина аппарата, v - скорость перемещения твердой фазы); mn - корни характеристич. ур-ния6028-92.jpg ; ст = сн при6028-93.jpg(прямоток) и ст= ск при6028-94.jpg(противоток).

Массообмен при извлечении твердого вещества. Возможны разл. варианты распределения твердого целевого компонента по объему частицы; во мн. случаях наблюдается равномерное распределение. Вследствие растворения в-ва и диффузии его за пределы частицы область, содержащая твердый целевой компонент, при экстрагировании систематически сокращается. Процесс описывается ур-нием (1) при краевых условиях:6028-95.jpg и6028-96.jpg где r0 - радиус сферы, в к-рой целевой
компонент сохраняется в твердом виде; cs - концентрация насыщения р-ра целевым компонентом.
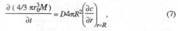
Вместо решения задачи с подвижной границей раздела фаз можно использовать также приближенное ур-ние:

6028-97.jpg

где М - масса твердого целевого компонента в объеме частицы.
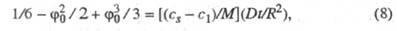
Рассматривая медленный процесс извлечения твердого в-ва как квазистационарный, т. е. такой, при к-ром в каждый момент времени "успевает" установиться стационарное распределение концентраций в виде [(сs - с)/(сs — c1)] = = [(1 - rо/r)/(1 - rо/R)], находят:

6028-98.jpg

где6028-99.jpg Из ур-ния (8) определяют время tэ, извлечения всего в-ва из частицы радиусом R:

6028-100.jpg

Более общую задачу непрерывного экстрагирования (прямоток, противоток) решают, используя ур-ния материального баланса (4) и (5).

Аппаратурное оформление процесса

По взаимному направлению движения твердой фазы и экстрагента экстракторы подразделяют на прямоточные и противоточные, по режиму работы - на аппараты периодического, полунепрерывного и непрерывного действия.

Экстракторы периодического и полунепрерывного действия. наиб. распространены камерные аппараты (реакторы) с мех., пневматич. или пневмомех. перемешиванием, а также т. наз. настойные чаны с неподвижным слоем твердых частиц с циркуляцией (перколяторы) и без циркуляции экстрагента. Аппараты для экстрагирования в плотном слое обычно располагаются вертикально и имеют комбинир. форму: в осн. части цилиндрическую, с одного или обоих концов - форму усеченного конуса (рис. 1, а). На решетку сверху загружается слой твердого материала, через к-рый сверху вниз протекает экстрагент; для выгрузки твердого остатка служит откидное днище.

6028-101.jpg

Рис. 1. Экстракторы периодического действия: а - единичный аппарата; б -батарея аппаратов (I-V); 1 - корпус; 2 - ложное днище (решетка); 3 - откидное днище; 4 - штуцер для ввода свежего экстрагента; 5 - штуцер для отвода концентрированного р-ра; 6 - насос.

Последоват. соединение 4-16 таких аппаратов в батарею (рис. 1, б)позволяет перейти к полунепрерывной противоточ-ной схеме. Благодаря замкнутой системе коммуникаций удается периодически отключать от циркуля ц. системы один из аппаратов, освобождать его от полностью истощенного материала и заполнять свежим. Далее этот аппарат снова включают в систему циркуляции и подают в него наиб. обогащенный экстрагент, прошедший через все остальные аппараты; затем отключают след, аппарат, в к-рый до этого поступал чистый экстрагент, и т.д. С увеличением числа аппаратов процесс приближается к непрерывному.
Гл. недостатки описанных экстракторов, к-рые продолжают широко применяться в хим. произ-вах: большие затраты ручного труда при их эксплуатации, значит. потери экстрагируемого в-ва при выгрузке, высокая металлоемкость, трудность регулирования работы. Экстракторы периодич. действия используют в произ-ве небольших партий фармацевтич. препаратов, настоев, морсов и др. Экстракторы полунепрерывного действия (батарея аппаратов) малоэффективны, громоздки и сложны в обслуживании.

Экстракторы непрерывного действия. К осн. экстракторам относятся шнековые и ленточные аппараты. Шнековы и экстрактор (рис. 2) представляет собой трехколонный аппарат с транспортирующим органом шнекового типа. Твердая фаза последовательно перемещается через загрузочную, горизонтальную и экстракц. колонны навстречу движущемуся экстрагенту. В верх. части загрузочной колонны имеется сито для отделения экстракта от твердой фазы. Достоинства аппарата - малая металлоемкость и небольшая занимаемая площадь. Недостатки обусловлены конструкцией шнека, вокруг вала к-рого закручивается твердый материал; поэтому иногда шнек заменяют цепным транспортирующим органом.
Ленточный экстрактор (рис. 3) имеет стальной корпус, внутри к-рого расположен транспортер с перфорир. лентой. Подаваемый в аппарат материал движется слоем высотой 0,6-1,2 м по верх. ветви транспортера.

6028-102.jpg

Рис. 2. Шнековый экстрактор непрерывного действия: 1, 2, 3 - загрузочная, горизонтальная и экстракц. колонны; 4-6 - шнеки; 7 -разделит. сито.

Для равномерного распределения экстрагента по пов-сти материала над слоем размещены распылители. Пройдя через слой материала, р-р поступает в воронку, откуда насосом подается в смежную зону, к-рая расположена в направлении, противоположном движению ленты. Распространены также роторные аппараты карусельного типа, реализующие тот же принцип действия.

6028-103.jpg

Рис. 3. Ленточный экстрактор непрерывного действия: 1 - корпус; 2 - бункер; 3 - ленточный транспортер; 4 - воронка; 5 - насосы.

Преимущества экстракторов непрерывного действия, применяемых в многотоннажных произ-вах, перед периодически функционирующими аппаратами: более высокий коэф. массоотдачи от пов-сти твердых частиц к экстрагенту; полное исключение ручного труда при обслуживании; возможность создания экстрактов большой единичной мощности и автоматизации экстрагирования.

Интенсификация процесса

По сравнению с растворением экстрагирование протекает медленнее. Для его интенсификации целесообразны след. способы:
1. Повышение т-ры экстрагента. Приводит к увеличению коэф. диффузии, что ускоряет извлечение растворенного и твердого в-в; в последнем случае возрастает и движущая сила процесса cs — c1 [см. ур-ние (8)]. При повышении т-ры снижается также вязкость экстрагента, вследствие чего уменьшаются потери напора на прокачку р-рителя через слои извлекаемого в-ва.
2. Повышение относит. скорости движения фаз. Способствует увеличению коэф. массоотдачи, что сокращает время экстрагирования (если процесс не лимитируется внутр. диффузией).
3. Интенсивное перемешивание. Приводит к обновлению пов-сти контакта твердых частиц с экстрагентом (эффективно при внешнедиффузионном сопротивлении).
4. Повышение давления. Уменьшает объем воздуха, "защемленного" в пористом объеме частиц при погружении твердого в-ва в экстрагент, и, Следовательно, восстанавливает нарушенный при этом контакт внутр. пов-сти частиц с жидкостью.
5. Подвод энергии (вибрации, пульсации, ультразвуковые и инфразвуковые колебания).
Кроме того, при хим. р-циях между в-вом и экстрагентом процесс можно ускорить, повышая концентрацию извлекаемого в-ва.
Экстрагирование используют: а) для извлечения соед. редких металлов, урана, серы и др. из руд; б) для извлечения из пористых продуктов спекания разл. в-в (произ-во глинозема, NaF и т.д.); в) для выделения орг. соед. из растит. сырья в произ-вах сахара, растит, и эфирных масел, р-римых кофе и чая, лек. ср-в и др.; г) для образования пористых структур путем добавления и послед. извлечения р-римого в-ва после фиксации структуры (напр., в произ-ве пористых пластмасс, применяемых как изоляц. материал).

Лит.: Аксельруд Г.А., Лысянский В.М., Экстрагирование. Система твердое тело - жидкость, Л., 1974; Романков П. Г., Курочкина М. И., Экстрагирование из твердых материалов, Л., 1983; Романков П. Г., Фролов В. Ф., Массообменные процессы химической технологии, Л., 1990, с. 117-48.

Г. А. Аксельруд.