Перемешивание
ПЕРЕМЕШИВАНИЕ, способ получения однородных смесей и(или) интенсификации тепло- и массообмена в хим. аппаратуре. В соответствии с агрегатным состоянием B-B или материалов различают перемешивание жидких сред, к-рому посвящена данная статья, и перемешивание твердых сыпучих материалов (см. Смешение). Перемешивание производится преим. в емкостных аппаратах с перемешивающими устройствами (обычно мешалками). Процесс заключается в распределении растворенных в-в, взвешенных частиц и теплоты, а также в диспергировании капель и пузырьков в жидкости путем приведения ее в вынужденное движение. При этом возникает циркуляц. течение жидкости по окружности и(или) в меридиональном направлении, сопровождающееся появлением напряжений сдвига. Характер и интенсивность перемешивания зависят от конструкций аппаратов и мешалок.
Способы перемешивания и устройство аппаратов. Наиб. распространено механическое перемешивание, осуществляемое с помощью вращающихся мешалок в вертикальных цилиндрич. аппаратах (рис. 1) объемом от 10 дм3 до 50 м3 (иногда до 2000 м3 и

более). Аппараты изготовлены, как правило, из углеродистых, низколегированных, Ni- и Mg-содержащих сталей (в т. ч. двуслойных), реже - из чугуна или Ti и его сплавов; для защиты деталей от коррозии применяют также стеклоэмале-вые покрытия, гуммирование, футеровку керамич. плитками или полимерными пленками. Аппараты для работы при атм. давлении снабжены плоскими днищами и крышками, под давлением или в вакууме (для давлений до 0,6 M Па выпускаются серийно, до 4 МПа и более, иногда до 100-200 МПа-по спец. разработкам)-эллиптическими. Для нагревания или охлаждения жидкостей при давлении теплоносителя до 0,4 МПа служат приварные рубашки, при более высоких давлениях-рубашки из полутруб либо внутр. змеевики; теплоносители - вода, водяной пар, высокотом-пературные орг. жидкости, напр. смесь дифенил-дифенило-вый эфир, используется также электроподогрев.
ДАННЫЕ ДЛЯ РАСЧЕТОВ ПРОЦЕССОВ ПЕРЕМЕШИВАНИЯ
Для видоизменения структуры потоков с созданием гл. обр. меридиональной циркуляции жидкости и исключения образования воронок в стальных аппаратах устанавливают отражат. перегородки, в аппаратах с неметаллич. покрытия-ми-отражатели из сплющенных труб. В произ-вах особо чистых B-B и мед. препаратов внутр. пов-сть аппаратов в ряде случаев полируют. Конструкции наиб. часто применяемых мешалок показаны на рис. 2, области их использования, соотношения осн. размеров и др. данные, необходимые для расчетов, приведены в таблице.
Приводом мешалок служит обычно редуктор, соединенный с электродвигателем (мотор-редуктор) и размещенный на стойке, к-рая устанавливается на крышке аппарата. Мощность приводов стандартных аппаратов 0,75-55 кВт; частота вращения мешалок 0,4-4 с-1, при необходимости ее плавного регулирования в пределах 0,15-1,5 с-1 используют моторы-вариаторы мощностью 1,5-8,5 кВт. Герметизация валов при давлениях выше 0,6 МПа, а также при перемешивании токсичных, взрыво- и пожароопасных в-в осуществляется торцевыми уплотнениями, в менее ответств. случаях-сальниками. Надежная работа уплотнений обеспечивается подачей смазывающей или уплотняющей жидкости (вода, масло, глицерин и др.). Перемешивание нетоксичных, взрыво- и пожаро-безопасных жидкостей в открытых аппаратах объемом от 40 дм3 до 10 м3 производится переносными мешалками, устанавливаемыми на корпусе аппарата посредством струбцин либо на штативах с подъемником. В пром-сти минер. удобрений, при переработке горнохим. сырья и т.п. применяют открытые резервуары объемом 200-2500 м3 с тихоходными перемешивающими устройствами мощностью до 160 кВт. Для перемешивания в сооружениях еще больших размеров (напр., при очистке сточных вод) используют перемешивающие устройства, размещаемые на понтонах.
Наряду с аппаратами универс. назначения эксплуатируется ряд спец. конструкций. Для интенсификации теплообмена в высоковязких средах применяют аппараты со скребковыми мешалками; гомогенизацию многокомпонентных смесей, содержащих агрегирующиеся частицы (напр., при приготовлении красок), проводят в диссольверах - аппаратах объемом 0,5-2 м3 с быстроходными мешалками и приводами мощностью до 90 кВт; для полной герметизации аппаратов при обработке особо опасных в-в используют приводы с экранирующей гильзой или магн. муфтами.


Рис. 2. Конструкции мешалок: а турбинная; б трехлопастная; в фрезерная; г - якорная; д - рамная; е- ленточная; ж- шнековая.
Кроме механического перемешивания вращающимися мешалками применяют и др. способы. Напр., в процессах микробиол. синтеза, когда по технол. условиям жидкость взаимод. с большим кол-вом газа, перемешивание осуществляется самим газом (пневматическое перемешивание) путем его подвода в циркуляционную трубу (газлифтное перемешивание) или распределения по сечению аппарата с помощью барботеров (барботажное перемешивание). Смеси взаимно р-римых жидкостей приготовляют в непрерывно действующих смесителях, выполненных в виде элементов трубопроводов с турбулизирующими вставками. Перемешивание производится также посредством струй жидкости, вводимых в аппарат со скоростью 6 12 м/с непрерывно или пульсациями (струйное перемешивание), вибрационных мешалок перфориров. пластин, совершающих возвратно-поступат. движение с частотой 10 100 с 1 (вибрационное перемешивание). Конкурентоспособность этих способов перемешивания по сравнению с механическим пока не подтверждена.
Проектирование, расчет и выбор аппаратов. Интенсивность перемешивания, достаточная для проведения технол. процессов, достигается на практике обычно при использовании типовых аппаратов с перемешивающими устройствами, выбираемых по техн. каталогам. Стоимость таких аппаратов и трудоемкость их обслуживания, как правило, в 2-3 раза ниже, а надежность-в 1,5-3 раза выше, чем аппаратов, изготовляемых по спец. разработкам. Если же проектирование необходимо, его целесообразно производить с макс. применением стандартных узлов для обеспечения высокой надежности оборудования.
Механическое перемешивание изучено сравнительно полно: имеются методики и мат. модели, отражающие физ. механизм процесса и позволяющие осуществлять расчеты гидродинамики, теплообмена и массообмена со взвешенными частицами и др. с учетом св-в среды, конструкций мешалок и размеров аппаратов; созданы системы автоматизир. расчета и оптим. выбора оборудования из каталогов. Менее разработаны, однако, проблемы диспергирования капель и пузырьков в жидкости, массообмена в системах жидкость жидкость и газ жидкость, а также выравнивания концентраций перемешиваемых в-в в микроскопич. объемах (микроперемешивание). При оценочных расчетах перемешивания применительно к условиям, приведенным в таблице, можно пользоваться представленными ниже ф-лами.
Мощность мешалок и приводов. Расчет мощности (Вт), потребляемой на перемешивание, производится по ф-ле:

где
-плотность перемешиваемой среды (кг/м3), n-частота вращения (с-1) мешалки, dм-ее диаметр (м). Коэф. KN при турбулентном режиме изменяется мало, при ламинарном режиме зависит от числа Рейнольдса для перемешивания ReM = nd2м/
, где
-кинематич. вязкость среды (м2/с). Для неньютоновских жидкостей
, где К и m-константы, определяемые св-вами среды, g = An (A-константа)-скорость сдвига при обтекании лопастей (с-1). Мощность привода мешалки (Вт) выбирается с учетом его кпд (ок. 0,8) и кратковрем. повышения мощности в период пуска: Nпр= 1,25 KпN, где Kп- коэффициент.
Скорость и циркуляц. расход жидкости при турбулентном режиме. В аппаратах без неподвижных внутр. устройств реализуется преим. окружное течение. Для турбинных мешалок скорость жидкости (м/с) уменьшается в направлении к стенке аппарата в пределах (0,5-0,15)ndм, для трехлопастных (0,3-0,1)ndм, для рамных -(0,5-0,2) ndм. При этом образуется воронка глубиной (м)

где g -ускорение своб. падения (м/с2), Kв- коэффициент. Для нормальной работы аппарата расстояние между пов-стью жидкости и мешалкой должно быть не менее hв. В аппаратах с отражат. перегородками, отражателями и внутр. змееви-
ками наблюдается, как правило, меридиональное течение, и воронка не образуется. В аппаратах с мешалками циркуляц. расход жидкости (м3/с)

где Kq коэф.; среднее значение коэф. турбулентной диффузии (м2/с) :

где Kтконстанта.
Перемешивание и теплообмен. Коэф. теплоотдачи [Вт/(м2 град)] от перемешиваемой среды к стенке аппарата при турбулентном режиме определяется по ф-ле:

где Сp теплоемкость среды [Дж/кг· град)],
число Прандтля,
теплопроводность среды [Вт/(м · град)], V объем жидкости (м3).
Перемешивание взаимно р-римых жидкостей проводят в аппаратах с мешалками всех типов. Время (с)выравнивания концентраций перемешиваемых в-в
, где
коэффициент.
Перемешивание и массообмен в гетерог. и гомог. системах. В первом случае при разности плотностей дисперсной и сплошной фаз
перемешивание осуществляют в аппаратах с отражат. перегородками; при
экономичнее аппараты без неподвижных внутр. устройств. При перемешивании взаимно нерастворимых жидкостей в отсутствие ПАВ средний диаметр капель (м) ,

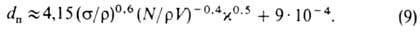
где s-коэф. поверхностного натяжения (Н/м), f объемная концентрация дисперсной фазы; в обычных условиях dк
0,4-1мм. Равномерное распределение взвешенных частиц или капель в аппарате достигается при DT
3Hw где H высота заполнения аппарата (м), w-скорость осаждения (всплывания) частиц (м/с). Условие распределения частиц при ламинарном режиме:
, где dапдиаметр аппарата (м). Наиб. размер частиц при перемешивании суспензий не должен превышать 1-2 мм. Коэф. массопередачи (м/с) от перемешиваемой жидкости к взвешенным частицам рассчитывается по ф-ле:

где Sc = v/DM- число Шмидта, Dм-коэф. диффузии (м2/с) Обычно b
5· 10-5, для капель b = (1 - 2)· 10-4 м/с.
При перемешивании в системах газ-жидкость расход газа (м3/с) не должен превышать значения
= 0,15nd3м. При N/
V= 1 — 3 кВт/кг и 4
/pd2 = 0,001-0,005 м/с уд. газосодержание смеси в аппарате

Средний диаметр пузырьков газа (м)

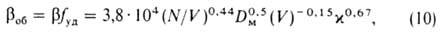
Для расчета массообмена между газом и жидкостью обычно используют объемный коэф. массопередачи (с-1)

где fуд -уд. пов-сть контакта фаз (м2).
При проведении в реакторах гетерог. р-ций, скорость к-рых лимитируется массообменом, интенсификация перемешивания приводит к повышению скорости превращения. При осуществлении гомог. р-ций перемешивание способствует распределению концентраций и т-ры, приближающемуся к равномерному (идеальное перемешивание). Степень близости к нему определяется отношением среднего времени пребывания среды в реакторе к времени выравнивания концентраций; это отношение принимается равным 10 и более и увеличивается с повышением скорости р-ции, ее порядка и теплового эффекта.
В лаб. практике применяют в осн. те же способы перемешивания, что и в пром-сти. Наиб. предпочтительно механическое перемешивание при относительно высокой регулируемой частоте вращения мешалок. Для перемешивания в открытых сосудах из стали и др. материалов обычно используют стеклянные и металлич. (большие кол-ва жидкости, вязкие среды, тяжелые осадки, напр. цинковая пыль или амальгама Na) мешалки разл. формы; частота вращения 5 125 с-1, потребляемая мощность до 60 Вт. Мешалки приводятся во вращение от электрич. и воздушных пневмоприводов, а также от водяных турбинок (при работе с легковоспламеняющимися жидкостями, напр. CS2 или эфиром). Перемешивание в открытых либо закрытых стеклянных сосудах осуществляют часто с помощью электромагн. мешалок. Принцип функционирования этих мешалок основан на том, что укрепленный на оси вертикально расположенного мотора электромагнит при вращении с частотой до 24с-1 приводит в движение якорь из мягкого Fe. Последний помещают в графитовую, стеклянную или полимерную ампулу, к-рую запаивают и помещают на дно смесителя. Электромагн. мешалки применяют для перемешивания маловязких жидкостей (при гидрировании, электролизе, титровании и т.д.), при работе в глубоком вакууме и др. При необходимости изолировать реакц. смесь от действия воды и воздуха, а также для предотвращения утечки летучих B-B мешалки герметизируют резиновыми или корковыми пробками, жидкостными затворами (ртутными или глицериновыми), цилиндрич. стеклянными шлифами.
При приготовлении р-ров, взбалтывании смесей, перемешивание содержимого бутылей, колб и т.п., встряхивании делительных воронок, пробирок и пипеток используют разл. вибрационные и встряхивающие устройства. Для исследований при высоких давлениях перемешивание легкотекучих сред в малоинтенсивных режимах обеспечивается в автоклавах-качалках или вращающихся автоклавах в случае заполнения их жидкостью на 50 60%.
Лит Вертикальные стальные сварные аппараты с перемешивающими устройствами. Каталог, M.. 1978: Васильцов Э. А , Ушаков В. Г., Аппараты для перемешивания жидких сред. Л., 1979; Брагинский Л. H., Бегачев В. И , Барабаш В И , Перемешивание в жидких средах, M., 1984. Л. H. Брагинский