Лариксoл
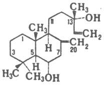
ЛАРИКСOЛ [(65, 13S)-лабда-8(20),14-диен-6,13-диол], мол. м. 306,43; бесцв. кристаллы, т. пл. 103-104°С; [a]D+60° (этанол); не раств. в воде, раств. в орг. р-рителях. Лариксол и его 6-моноацетат выделяют из живиц разл. видов лиственницы. При гидрировании лариксол дает тетрагидролариксол, при дегидрировании - смесь 1,2,5-триметилнафталина и 1,7-диметилфенантрена. 6-Монотозилат
Лариксол при восстановлении LiAlH4 дает 13-эпиманоол. Нек-рые продукты превращения лариксола обладают сильным запахом амбры и используются в парфюм. пром-сти. Лит.: Влад П. Ф., "Успехи химии", 1982, т. 51, № 11, с. 1129-56. П. Ф. Влад.
*Подобраны с помощью LLM, верифицированы, но возможны неточности.
Синонимы/примеры:*
Лариксол; Лоратадин; Кларитин; Алаверт
*подобраны ИИ, возможны неточности
Ещё по теме
Лорагексал — описание, применение, побочные эффекты
Склареол — свойства и применение
Линалоол — характеристики и применение
Склареол — свойства и применение
Лантана хлорид — характеристики и свойства
Лактасол — плазмозаменяющий раствор
Хлорксилолы — характеристики и применение
Ломилан — инструкция по применению и побочные эффекты
Эленол и эленилацетат — характеристики и применение
Лабеталол — свойства и применение
Леконил Р — инструкция по применению, показания и противопоказания
Аллилхлорид — характеристики и применение
Леконил — инструкция по применению, показания и противопоказания
Санталол — характеристики и применение
Лактасол — применение и противопоказания раствора
Дополнения к описанию лариксола: