Ундекалактон
УНДЕКАЛАКТОН (5-гептилтетрагидрофуранон, g-гептил-g-бутиролактон, "альдегид С 14"), соед. ф-лы I, мол. м. 184,28; бесцв. жидкость с сильным запахом, при разбавлении напоминает запах персика; т. кип. 150-155 0С/5 мм рт. ст.;
0,9494-0,9507;
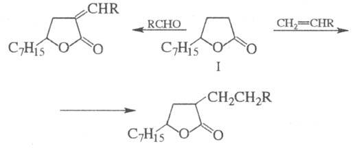
1,4512-1,4550; р-римость в 60%-ном этаноле 1:4, не раств. в воде. Под действием минер. к-т лактонный цикл ундекалактона размыкается. Ундекалактон конденсируется с альдегидами и непредельными соед., напр.:

Получают ундекалактон циклизацией 10-ундециленовой к-ты в присут. H2SO4 или радикальным присоединением 1-октанола к акриловой к-те.
Применяют ундекалактон для составления парфюм. композиций, мыльных отдушек и пищ. эссенций, а также как сырье для получения душистого в-ва - дигидрожасмона.
T. всп. 140 0C, т. самовоспл. 234 0C, КПВ 0,88-6,97% по объему, температурные пределы воспламенения: нижний 136 0C, верхний 191 0C. ЛД50 18,5 г/кг (крысы, перорально).
Л. А. Хейфиц.
Комментарии*
Дополнения к описанию ундекалактона:
- Более точное химическое название: Согласно современной номенклатуре ИЮПАК, это соединение правильно называется γ-ундекалактон. Структурно это 4- или 5-членный лактон, где карбоксильная группа находится в γ-положении к карбонилу.
- Ключевое свойство и механизм действия: Является одним из важнейших лактонов с фруктовым запахом. Его аромат чаще всего описывается как персиковый, кокосовый, сливочный.
- Практическое применение и значимость: Широко используется в пищевой промышленности в качестве ароматизатора (например, "персиковый альдегид"). В парфюмерии ценится за способность придавать композициям теплые, сливочно-фруктовые ноты и эффект "кожи".
- Интересный факт: Несмотря на распространенное тривиальное название "альдегид C-14", это соединение химически является лактоном, а не альдегидом. Название закрепилось в парфюмерной практике исторически.
*Подобраны с помощью LLM, верифицированы, но возможны неточности.
Синонимы/примеры:*
γ-Ундекалактон; Альдегид C-14; Персиковый альдегид
*подобраны ИИ, возможны неточности
Дополнения к описанию ундекалактона: