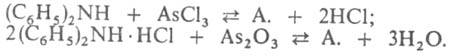
Адамсит

АДАМСИТ (от имени амер. химика Р. Адамса) (10-хлор-5,10-дигидрофенарсазин, ди-эм, DM), мол. м. 277,58; желтые кристаллы (техн. продукт-темно-зеленый): т. пл. 195°С, т. кип. 410°С; возгоняется с образованием устойчивого аэрозоля; плотн. 1,648 г/см3, летучесть 2*10-5 мг/л (20 °С);1004-23.jpg И 3,13 кДж/моль; не раств. в воде, плохо раств. в ароматич. углеводородах, спиртах, ССl4, хорошо - в ацетоне. Химически стоек, устойчив к детонации и нагреванию. Вызывает коррозию железа и медных сплавов. Получают адамсит из дифениламина или из его соли с НС1:

1004-24.jpg

Адамсит раздражает верх, дыхат. пути. Пороговая концентрация раздражающего действия аэрозоля 0,0001 мг/л, непереносимая - 0,0004 мг/л при экспозиции 1 мин. Защита от адамсита - противогаз. Адамсит был предложен в конце 1-й мировой войны в качестве ОВ. Практич. применения не нашел.

1004-22.jpg

В. И. Емельянов.

Комментарии*

Дополнения к описанию адамсита:

  • Более точное химическое название: 10-хлор-5,10-дигидрофенарсазин является арсиновой пылью, относящейся к группе рвотных (стернитных) отравляющих веществ.
  • Механизм действия: Раздражающее действие обусловлено воздействием на чувствительные нервные окончания в дыхательных путях, что приводит к неудержимому чиханию, кашлю, боли в груди, тошноте и рвоте. Симптомы могут проявляться с некоторой задержкой.
  • Исторический контекст: Хотя адамсит не применялся в Первой мировой войне, он производился и хранился в арсеналах многих стран. Впоследствии его запасы были в основном уничтожены или переработаны.
*Подобраны с помощью LLM, верифицированы, но возможны неточности.
Синонимы/примеры:* Фенарсазинхлорид; дифениламинхлорарсин; DM
*подобраны ИИ, возможны неточности