Бирадикалы

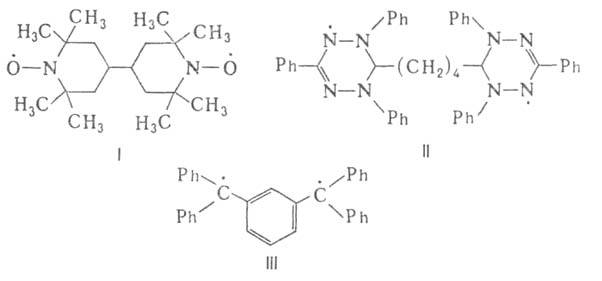
БИРАДИКАЛЫ, частицы с двумя пространственно разделенными неспаренными электронами. Многие бирадикалы обладают высокой реакц. способностью и являются промежут. продуктами орг. р-ций. Нек-рые бирадикалы, напр. нитроксил (ф-ла I), вердазил (II), углеводород Шленка (III), стабильны и м. б. выделены в индивидуальном состоянии. По хим. св-вам и способам образования бирадикалы близки к радикалам свободным с одним неспаренным электроном.
1057-9.jpg

Литература

Пармой В. Н., КокоринА. И., Жидоми ров Г. М., Стабильные бирадикалы, М., 1980.

Комментарии*

Бирадикалы

  • Структурные особенности: Два неспаренных электрона могут занимать разные молекулярные орбитали, что определяет их электронное состояние (синглетное или триплетное).
  • Стабильность: Стабильные бирадикалы часто стабилизируются делокализацией электронов или стерическими затруднениями, препятствующими рекомбинации.
  • Применение: Используются в молекулярной электронике, спиновых зондах, качестве лигандов в координационной химии и как прекурсоры для синтеза полимеров.
  • Примеры: Трифенилметильные бирадикалы, производные оксимов.
*Подобраны с помощью LLM, верифицированы, но возможны неточности.