Тиамина гидрохлорид

Синонимы:
аневринвитамин B1
оризанин
торулин
Внешний вид:
бесцветн. кристаллыБрутто-формула (система Хилла): C12H18Cl2N4OS
Молекулярная масса (в а.е.м.): 337,26
Температура плавления (в °C): 250
Растворимость (в г/100 г или характеристика):
ацетон: трудно растворимвода: 100 (25°C)
диэтиловый эфир: не растворим
этанол: 0,3 (20°C)
Аналитические
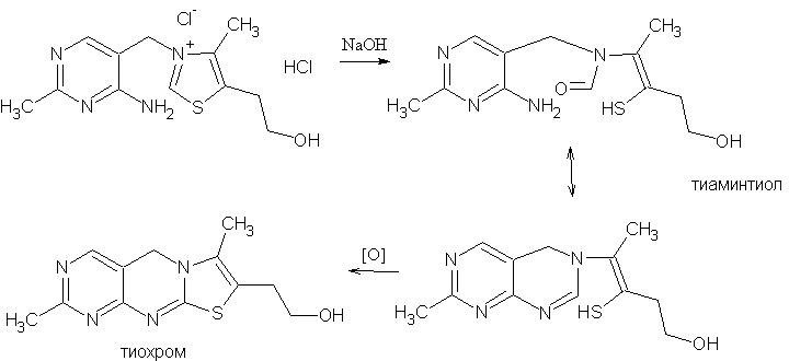
50 мл гиамина хлорида растворяют в 25 мл воды. К 5 мл раствора приливают 1 мл раствора гексацианоферрата (III) калия (или перманганата калия, или перекиси водорода), 1 мл раствора едкого натра, 5 мл бутилового или изоамилового спирта. Хорошо встряхивают и дают отстоятся. В верхнем слое возникает наблюдаемая в УФ-свете синяя флуоресценция, исчезающая при подкислении и вновь возникающая при подщелачивании раствора (флюоресценция тиохрома).

- "Руководство к лабораторным занятиям по фармацевтической химии" под ред. Арзамасцева А.П., М.: Медицина, 1987 стр. 226-227
- "Справочник химика" т.2, Л.-М.: Химия, 1964 стр. 576-577
Источники информации:
Синонимы/примеры:*
Витамин B1; Тиамин хлорид; Аневрин; Бенерва
*подобраны ИИ, возможны неточности
Ещё по теме
Тиамин — применение, свойства и меры предосторожности
Тиамин (витамин В1) — всё, что нужно знать
Триэтиламин — характеристики и токсичность
Динитрил янтарной кислоты — свойства и применение
Этилинимин — свойства и применение
Витамин В1 — показания, противопоказания и лекарственные формы