Диффузионный ток
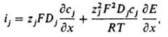
ДИФФУЗИОННЫЙ ТОК, электродный ток в условиях, когда скорость электрохим. р-ции определяется скоростью подвода реагирующего в-ва к пов-сти электрода или отвода от этой пов-сти продуктов р-ции. Перенос реагирующих в-в в р-ре электролита может осуществляться по трем механизмам: диффузии, миграции и конвекции. Соотв. поток в-ва от электрода или к нему можно рассматривать как сумму диффузионной, миграционной и конвективной составляющих. Первая обусловлена наличием градиента концентрации в-ва с в направлении х от электрода в т. наз. диффузионном слое, где концентрация изменяется от значения в объеме жидкости до значения на пов-сти электрода за счет расходования из р-ра или образования в-ва в электрохим. р-ции. Вторая связана с миграцией ионов из-за наличия градиента электрич. потенциала дЕ/дх в диффузионном слое. Третья связана с переносом в-ва к электроду или от него потоком жидкости в межэлектродном пространстве. Скорость движения р-ра v уменьшается при приближении к электроду и в простейшем случае становится равной нулю на его пов-сти. Поэтому выражение для диффузионного тока содержит два слагаемых - диффузионное и миграционное. При этом v оказывает влияние на диффузионный ток, изменяя толщину диффузионного слоя, т. е. градиенты концентрации и потенциала, к-рые увеличиваются при увеличении v. В разб. р-рах электролитов для плотности ij диффузионный ток частиц j-го сорта (катионов):
где zj и Dj - соотв. зарядовое число и коэф. диффузии ионов j-го сорта, F - постоянная Фарадея, R - газовая постоянная, T - абс. т-ра. Решение системы ур-ний приведенного здесь типа для частиц всех сортов, имеющихся в р-ре, при определенных условиях м. б. использовано для разл. практич. целей, напр., для расчета т. н. предельного диффузионного тока, к-рый достигается при обращении в нуль приэлектродной концентрации разряжающихся на электроде частиц. Измеряя величину предельного диффузионного тока (Вольтамперометрия)или переходное время, за к-рое достигается предельный диффузионный ток (Хронопотенцометрия), можно проводить количеств. анализ р-ров (определять сj) или определять Dj.
Литература
Ньюмен Дж., Электрохимические системы, пер. с англ., М., 1977, с. 243-330; Дамаскин Б. Б., Петрий О. А., Введение в электрохимическую кинетику, 2 изд. М.. 1983, с. 143-228. А. Д. Давыдов.
Ещё по теме
Электрохимический импеданс — основные понятия и применение
Электрохимия полупроводников
Электродные процессы — механизмы и влияние факторов
Электрическая составляющая расклинивающего давления
Электрокинетические явления — механизмы и применение
Электродные процессы — механизмы и применение в электрохимии
Диффузионные процессы и их роль в технологиях
Электроперенос — основные аспекты и применение
Электропроводность электролитов — механизмы и факторы влияния
Электрохимические преобразователи информации — принципы и применение
Ток обмена — основные аспекты