Электрохимическая кинетика

ЭЛЕКТРОХИМИЧЕСКАЯ КИНЕТИКА, раздел теоретич. электрохимии, рассматривающий закономерности, к-рым подчиняется скорость электродных процессов. Электрич. ток, проходящий через границу электрод - ионная система, связан с протеканием электродного процесса (фарадеевский ток) и с заряжением двойного электрического слоя (ток заряжения). Если св-ва пов-сти электрода не изменяются во времени, протекающий через электрод ток определяется только скоростью самого электродного процесса и размерами электрода. В этих условиях плотность тока i служит мерой скорости электрохим. р-ции. Если электрод находится при равновесном потенциале Ер, ток i = 0. При пропускании через электрод электрич. тока потенциал электрода отклоняется от Ер на величину6036-22.jpg к-рая называется поляризацией электрода. Для величины6036-23.jpg часто используют термин "перенапряжение" (обозначение6036-24.jpg).
Поляризация электрода обусловлена конечной скоростью электродного процесса, а потому она является ф-цией плотности тока. Функциональная зависимость6036-25.jpg от i (или i от6036-26.jpg ) называется поляризационной характеристикой электрода. Задача электрохимической кинетики заключается в установлении общих закономерностей, к-рым подчиняются поляризационные характеристики электродов, с целью регулирования скорости электродных процессов. Решение задач электрохимической кинетики имеет большое практич. значение, поскольку уменьшение поляризации6036-27.jpg при заданной плотности тока позволяет существенно повысить кпд использования электрохим. систем. Электрохимическая кинетика является теоретич. основой электрохимической защиты металлов от коррозии.
Поскольку электродные процессы являются гетерогенными и состоят из ряда последоват. стадий, общая поляризация6036-28.jpg определяется совокупностью поляризаций6036-29.jpg соответствующих отд. стадиям. Стадия, дающая наиб. вклад в суммарную величину6036-30.jpg является лимитирующей, она определяет вид поляризац. характеристики. Чтобы определить лимитирующую стадию, сравнивают закономерности исследуемого электродного процесса с закономерностями, характерными для разл. стадий. Определение лимитирующей стадии позволяет, меняя условия, изменить скорость электродного процесса в нужном направлении.
Во всех без исключения электродных процессах имеют место стадия массопереноса реагирующих в-в (к пов-сти электрода или от его пов-сти в объем) и стадия разряда- ионизации, связанная с переходом заряженных частиц через границу раздела фаз. Но если стадия массопереноса присуща любым гетерогенным процессам, то стадия разряда - ионизации является специфич. электрохим. стадией. По этой причине оформление электрохимической кинетики в самостоят. раздел теоретич. электрохимии связывают с разработкой теории замедленного разряда, описывающей кинетич. закономерности стадии разряда - ионизации (М. Фольмер, Т. Эрдей-Груз, А. Н. Фрумкин, 1930-33). Согласно этой теории, для электродного процесса типа Ох + ne-6036-31.jpgRed поляризац. характеристика описывается ур-нием:

6036-32.jpg

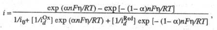
где Т - абс. т-ра; F - число Фарадея; R - газовая постоянная;6036-33.jpg - коэф. переноса6036-34.jpg ; i0 - плотн. тока обмена, к-рая обусловлена константой скорости стадии разряда - ионизации, строением двойного электрич. слоя, зарядовыми числами частиц Ох и Red и их энергиями адсорбции на данном электроде. При учете стадии массопереноса ур-ние принимает вид:

6036-35.jpg

где6036-36.jpgи6036-37.jpg-т.наз. предельные диффузионные токи, характеризующие максимально возможную скорость массопереноса частиц Ох и Red (см. Диффузионный ток). Эта скорость зависит от коэф. диффузии частиц, геометрии электрода и условий перемешивания р-ра. В учебных пособиях по электрохимической кинетике можно найти ур-ния функциональной зависимости6036-38.jpg для мн. других случаев, когда скорость электродных процессов определяется др. стадиями - хим. превращениями реагирующих в-в в объеме р-ра и на пов-сти электрода, стадиями образования и роста зародышей новой фазы, после-доват. переносом неск. электронов и др.
Для изучения электрохимической кинетики используют методы, позволяющие регистрировать зависимости i от6036-39.jpg в разл. условиях (разновидности метода полярографии, метод вращающегося дискового электрода и др.), а также разл. релаксационные методы, основанные на анализе временных зависимостей i при заданном6036-40.jpg(или6036-41.jpg при заданном i). Кроме того, для изучения кинетики и механизма сложных (многостадийных) электродных процессов применяют совокупность аналит. методов, позволяющих регистрировать возникновение и изменение во времени концентраций промежут. в-в и продуктов электролиза (электроаналит. методы; вращающийся дисковый электрод с кольцом; ИК и УФ спектроскопия; метод изотопных индикаторов, хроматография, ЭПР и др.). Используют также метод компьютерного моделирования, позволяющий дать оптимальное описание опытных зависимостей i от6036-42.jpgпутем подбора кинетич. параметров отд. стадий электродного процесса.

Лит.. Дамаский Б.Б., Петрий О. А., Введение в электрохимическую кинетику, 2 изд., М., 1983.

Б. Б. Дамаскин.