Желчегонные средства

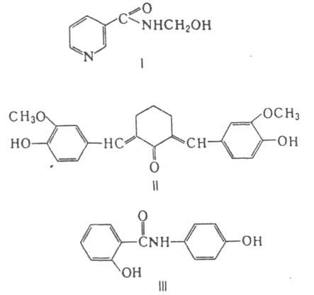
ЖЕЛЧЕГОННЫЕ СРЕДСТВА. Различают холеретические и холекинетические желчегонные средства. Первые увеличивают кол-во желчи гл. обр. вследствие повышения содержания в ней воды или усиления синтеза в печени солей желчных кислот (холатов). К этим желчегонным средствам относятся сами желчные к-ты (напр., дегидрохолевая) и содержащие их препараты (холензим, аллохол и др.), ряд синтетич. соед., напр., никодин (ф-ла I), циквалон (II), оксафенамид (III), феликур (1-фенилпропанол), а также в-ва растит. происхождения, содержащие флавоны, витамины и эфирные масла, - берберин, препараты бессмертника песчаного, кукурузы, плодов шиповника.
121_140-56.jpg
Холекинетические желчегонные средства усиливают выделение желчи и ее поступление в кишечник благодаря специфич. раздражению слизистой оболочки 12-перстной кишки, в результате чего в кровь поступает гормон холецистокинин, вызывающий сокращение желчного пузыря и расслабление желчевыводящих путей. К холекинетич. ср-вам относятся магния сульфат, ксилит, маннит, сорбит, а также растит. масла, яичный желток и др. Желчегонные средства применяют при разл. заболеваниях печени, желчного пузыря и желчевыводящих путей. Г. Я. Шварц.

Ещё по теме
Желчь — функции и состав
Холагол — применение и действие препарата
Сбор желчегонный — состав и применение
Жёлчные кислоты — строение и функции
Холагол — эффективное желчегонное средство
Желчевом — гомеопатическое средство для здоровья печени и желчевыводящих путей
Сбор желчегонный — состав и применение
Медицинская консервированная желчь — применение и свойства
Холензим — желчегонное средство от российских производителей
Сбор желчегонный — состав и применение
Холензим — применение и свойства таблеток
Холегон — общеукрепляющая БАД для здоровья печени и желчного пузыря
Сбор желчегонный № 3 — показания, противопоказания и применение
Гепатохолин — гомеопатический препарат для здоровья печени
Гербион-желчегонные капли — описание и применение
Холагогум — поддержка здоровья печени и желчного пузыря