Пилокарпин
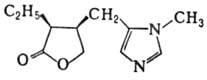
ПИЛОКАРПИН, мол. м. 208,26; алкалоид, содержащийся в растениях рода пилокарпус (Pilocarpus) семейства рутовых. Пилокарпин-вязкая жидкость; т. пл. 260°С/5 мм рт.ст.,
+ 100° (хлороформ); хорошо раств. в воде, этаноле, хлороформе, практически не раств. в диэтиловом эфире. Образует гидрохлорид (т. пл. 204-50C,
+ 92°, раств. в воде и этаноле) и нитрат (т. пл. 1780C,
+ 83°). При нагр. выше 1500C или в щелочной среде пилокарпин легко изомеризуется в транс-изомер-изопилокарпин.

Пилокарпин выделяют из листьев растений рода пилокарпус, в к-рых его содержание достигает 0,8% (в расчете на сухое сырье).
Пилокарпин возбуждает периферич. холинорецепторы, вызывающие усиление секреции пищеварит. и бронхиальных желез, резкое повышение потоотделения, сужение зрачка с одно-врем. уменьшением внутриглазного давления, повышение тонуса гладкой мускулатуры. Применяется при глаукоме и др. заболеваниях глаз.
Лит.: Машковский M.Д., Лекарственные средства, 11 изд., ч. 1, M., 1988, с. 218-19. M. С. Юнусов.
Дополнения к описанию пилокарпина: