Ретаболил
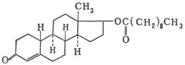
РЕТАБОЛИЛ (19-нортестостерон-17-деканоат, нандролон-деканоат, нортестостерон деканоат, дека-дураболин), мол. м. 428; бесцв. кристаллы; т. пл. ~ 35 °С; раств. в хлороформе и диэтиловом эфире, плохо-в этаноле, практически не раств. в воде. Получают из 3-метилового эфира эстрадиола восстановлением ароматич. кольца по Бёрчу с послед, гидролизом и ацилированием продукта хлорангидридом декановой к-ты. Ретаболил-анаболич. гормон (см. Анаболические вещества), оказывает сильное и длит. действие. Малотоксичен. Р. А. Альтшулер.

*Подобраны с помощью LLM, верифицированы, но возможны неточности.
Синонимы/примеры:*
Нандролона деканоат; Дека-Дураболин; Анаболин
*подобраны ИИ, возможны неточности
Ещё по теме
Ретаболил — описание, применение и противопоказания
Феноболин — описание и применение
Анаболические вещества — свойства и применение
Ципротеронацетат — свойства и применение
Арубендол — инструкция по применению, показания и противопоказания
Рибоксин — свойства и применение
Рифатироин — свойства и применение
Синэстрол — свойства и применение
Раствор в масле для инъекций — состав и применение
Спиропент — применение, противопоказания и побочные эффекты
Адреналин — свойства и применение гормона
Растоцин — инструкция по применению
Карбоксиамин — свойства и применение
ЭБРАНТИЛ — избирательный альфа1-адреноблокатор из Германии
Рекормон — инструкция по применению
Тестостерона пропионат — свойства и применение
Ретинол — всё, что нужно знать
Тразикор — применение и особенности препарата
Дополнения к описанию: