Тиопентал-натрий
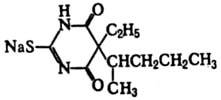
ТИОПЕНТАЛ-НАТРИЙ, смесь 5-этил-5-(1-метилбутил)-2-тиобарбитурата натрия (см. ф-лу) с безводным Na2CO3, желтоватая или желтовато-зеленоватая пористая масса со своеобразным запахом; хорошо раств. в воде; гигроскопичен. Водные р-ры имеют рН 10,5, очень нестойки. Получают тиопентал-натрий из диэтилового эфира этилмалоновой к-ты и 2-бром-пентана, образующих в присут. этилата натрия 5-этил-5-(1-метилбутил)малоновый эфир, к-рый конденсируют с тиомочевиной в спиртовом р-ре этилата Na с образованием тиопентал-кислоты (в ф-ле вместо Na атом Н); последнюю растворяют в NaOH, прибавляют Na2CO3 (в кол-ве 6% по массе) и высушивают. Тиопентал-натрий используют как ср-во для наркоза. По фармакологич. св-вам близок к гексеналу, но действует сильнее и быстрее.

А.В. Мещеряков, А.А. Бунятян.
Комментарии*
Дополнения:
- Механизм действия: Является ультракороткодействующим барбитуратом, который усиливает действие нейромедиатора ГАМК (гамма-аминомасляной кислоты) на ГАМКA-рецепторы, что приводит к угнетению центральной нервной системы.
- Применение: Используется для индукции общей анестезии, а также для лечения повышенного внутричерепного давления и купирования судорожных статусов.
- Фармакокинетика: Обладает очень быстрым началом действия (30-60 секунд при внутривенном введении) и короткой продолжительностью эффекта (5-10 минут) из-за быстрого перераспределения из мозга в жировую ткань.
- Важная особенность: Выпускается в виде сухого порошка, который требует растворения непосредственно перед применением, так как водные растворы нестабильны.
*Подобраны с помощью LLM, верифицированы, но возможны неточности.
Синонимы/примеры:*
Тиопентал натрия; Пентогал; Тиопентал натрий; Неоамтал; Тиопентал-натрий для инъекций
*подобраны ИИ, возможны неточности
Дополнения: