Эллмана реактив

ЭЛЛМАНА РЕАКТИВ [5,5'-дитио-бис-(2-нитробензойная к-та), 3,3'-дикарбокси-4,4'-динитродифенилдисульфид; ф-ла I], мол. м. 396,4; т. пл. 240-245 °С (с разл.). Эллмана реактив получают окислением 5-меркапто-2-нитробензойной к-ты.
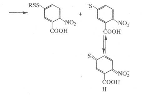
Эллмана реактив - аналит. реагент для определения своб. групп SH, в т. ч. в белках и пептидах. Метод основан на взаимод. Эллмана реактива с субстратами при рН 8 по схеме:

6039-41.jpg

6039-42.jpg

Хиноидную форму (II) 2-нитро-5-меркаптобензойной к-ты определяют спектрофотометрически при6039-43.jpg 412 нм (6039-44.jpg 1,3 -104).
Реагент предложен Дж. Эллманом в 1959.

Лит.: Справочник биохимика, пер. с англ., М., 1991, с. 323.

В. В. Баев.

Комментарии*

Дополнения к описанию:

  • Механизм реакции: Реактив Эллмана вступает в реакцию тиол-дисульфидного обмена с тиольными группами (-SH), в результате чего высвобождается 2-нитро-5-тиобензоат-анион (TNB⁻).
  • Ключевое свойство продукта: Именно этот TNB⁻-анион обладает интенсивным желтым цветом и высокой молярной поглощающей способностью, что делает возможным его прямое спектрофотометрическое определение.
  • Области применения:
    • Определение концентрации глутатиона.
    • Измерение активности ферментов, таких как ацетилхолинэстераза, через ингибирование тиолсодержащими соединениями.
    • Мониторинг кинетики реакций с участием тиолов.
  • Преимущества: Метод высокочувствительный, простой в выполнении и позволяет проводить измерения в реальном времени.
*Подобраны с помощью LLM, верифицированы, но возможны неточности.
Синонимы/примеры:* 5,5'-дитиобис-(2-нитробензойная кислота); DTNB
*подобраны ИИ, возможны неточности