Маноилоксиды

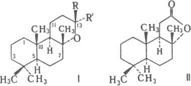
МАНОИЛОКСИДЫ (8a,13-эпокси-14-лабден), мол. м. 290,43. Известны (13R)-маноилоксид (ф-ла I; R = СН3, R' = СН=СН2); бесцв. кристаллы; т. пл. 29 °С; [a]D13 +19,6° (этанол), и (13S)-маноилоксид (I; R = СН=СН2, R' = СН3); бесцв. кристаллы; т. пл. 101°С; [a]D25 +43,3° (хлороформ).
622_640-66.jpg
Не раств. в воде, раств. в орг. р-рителях. Обнаружены во мн. хвойных растениях. При гидрировании дают дигидроманоилоксиды. Селеном (13R)-маноилоксид дегидрируется в 1,2,5-триметилнафталин, при действии озона и послед. окислении СrO3 дает норамбреинолид II. Простейший метод синтеза маноилоксидов - дегидратация склареола к-тами. Нек-рые продукты превращения маноилоксидов обладают сильным запахом амбры и используются в парфюм. пром-сти. Лит.: Влад П. Ф., "Успехи химии", 1982, т. 51, в. 7, с. 1129-56. П. Ф. Влад.

Комментарии*

Дополнения к описанию маноилоксидов:

  • Биосинтез и природное значение - маноилоксиды являются дитерпеноидами, образующимися в растениях через мевалонатный путь. Они служат ключевыми интермедиатами в биосинтезе разнообразных вторичных метаболитов у хвойных растений
  • Структурные особенности - наличие эпоксидной группы в положении 8a,13 и лабданового скелета определяет их высокую реакционную способность
  • Промышленное значение - производные маноилоксидов ценятся в парфюмерной промышленности как заменители натуральной амбры, обладающие фиксативными свойствами и стойким древесно-амбровым ароматом
  • Химические превращения - способны к различным перегруппировкам с образованием разнообразных терпеноидных структур, что делает их ценными полупродуктами в синтетической химии
*Подобраны с помощью LLM, верифицированы, но возможны неточности.
Синонимы/примеры:* Маноилоксид; Маноилоксид А; Маноилоксид B; Маноилоксид C; Маноилоксид D
*подобраны ИИ, возможны неточности