Антитиреоидные средства

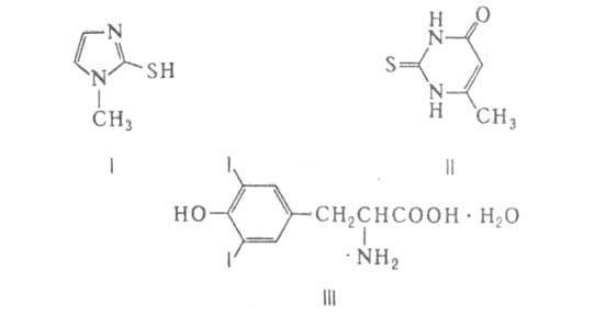
АНТИТИРЕОИДНЫЕ СРЕДСТВА (от греч. anti- -приставка, означающая противодействие, и thyreoeides - щитовидный), тормозят образование в щитовидной железе тиреоидных гормонов (тироксина и трииодтиронина). Циклич. производные тиомочевины, напр. мерказолил (ф-ла I), метилтиоурацил (II), угнетают активность ферментных систем, участвующих в окислении иодидов в иод, что приводит к торможению иодирования тироглобулина и, следовательно, к задержке образования моно- и дииодтирозина, а также превращения последних в тироксин и трииодтиронин. Препараты иода (KI, р-р Люголя, дииодтирозин - ф-ла III) в дозах, превышающих в 40-50 раз физиол. потреб-
1034-20.jpg

ность организма в иоде, тормозят иодирование тироглобулина. Этот эффект объясняется адаптационной р-цией клеток, вырабатывающих тиреоидные гормоны, на избыточное содержание в крови иода, в результате чего нарушается транспорт иода и уменьшается его концентрация внутри клетки. Препараты иода нормализуют размеры щитовидной железы, уменьшают секрецию тиреоидных гормонов, стимулированную гормоном гипофиза тиротропином.

Если эффективность антитиреоидных средств недостаточна, а оперативное лечение противопоказано, применяют радиоактивные изотопы иода (131I, реже 125I и 123I), избирательное действие к-рых достигается благодаря способности клеток щитовидной железы накапливать иод в концентрациях, в 20-50 раз превышающих его физиол. концентрацию в крови. Клетки, вырабатывающие тиреоидные гормоны, погибают от радиоактивного излучения изотопов, тогда как др. ткани и органы не страдают.

Антитиреоидные средства применяют при гиперфункции щитовидной железы (токсич. зоб, базедова болезнь).

Литература

Лекарственные препараты, применяемые в эндокринологии, под ред. Н.Т.Старковой, М,И. Балаболкина, 2 изд., М., 1983, с. 5-19; Modern pharmacology, ed. byCh.fc. Craig, R.E. Stitzel, Boston, 1982. p. 859-72. P.А. Альтшулер.

Синонимы/примеры:* Тиамазол; Метимазол; Карбимазол; Пропилтиоурацил
*подобраны ИИ, возможны неточности