Аспартам
АСПАРТАМ (метиловый эфир L -
- аспартил - L - фенилаланина), мол. м. 294,31; бесцв. кристаллы, т. пл. 246-247°С,
-2,3° (1 г в 100 мл 1 н. HCl); хорошо раств.
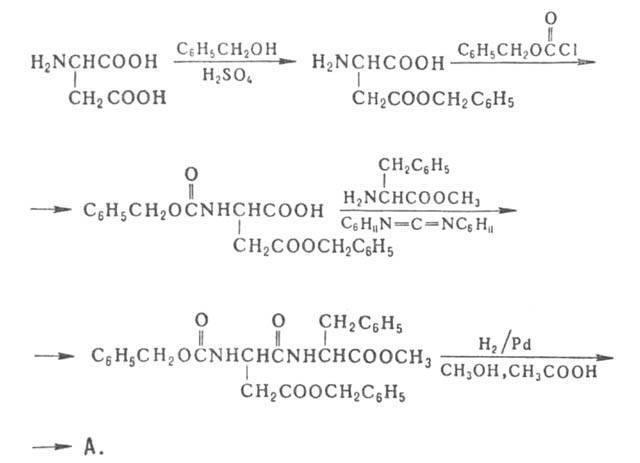
в воде. Получают по схеме:
Аспартам используют в нек-рых странах в пищ. пром-сти как малокалорийный подсластитель. Он не стимулирует образование зубного кариеса; его усвоение не зависит от инсулина.
Литература
Павлова Л. А. [и др.], "Успехи химии", 1981, т. 50, № 4, с. 590-605. В. В. Баев.
*Подобраны с помощью LLM, верифицированы, но возможны неточности.
Синонимы/примеры:*
L-Аспартил-L-фенилаланин метиловый эфир; E951; Нутрасвит; Свитли; Кандерель
*подобраны ИИ, возможны неточности
Ещё по теме
Аспартам — свойства и применение
Аспартам — характеристики и применение
АМАРИЛ — инструкция по применению и особенности препарата
Лактат натрия — свойства и применение
Сахарин — свойства и применение
Токсичность аллилформиата и его влияние на организм
Альпрогель — показания, противопоказания и побочные эффекты
Акарбоза — свойства и применение
Антибет — глибенкламид и его применение при сахарном диабете
Лактамил — применение, противопоказания, побочные эффекты
Сахарин — характеристики и применение
Сукральфат — применение, противопоказания, побочные эффекты
Сукральфат — применение, противопоказания и побочные эффекты
Аспартам (метиловый эфир L-аспартил-L-фенилаланина) — синтетический интенсивный подсластитель, примерно в 200 раз слаще сахарозы.