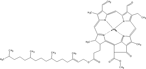
Хлорофилл b

Внешний вид:
желтовато-зел. Брутто-формула (система Хилла): C55H70MgN4O6
Молекулярная масса (в а.е.м.): 907,47
Природные и антропогенные источники:
В смеси с хлорофиллом a (75% a и 25% b) входит в состав всех зеленых растений планеты.- Каррер П. "Курс органической химии" 2-е изд., под ред. Колосова М.Н., Л.:ГНТИХЛ, 1962 стр. 979-982
Источники информации:
Синонимы/примеры:*
Хлорофилл b; [3-[14-Этил-21-(метоксикарбонил)-4,8,13,18-тетраметил-20-оксо-9-винил-3,4-дидегидро-3-порфинил-κN23,κN24,κN25,κN26]пропанато(2-)-κN23,κO2]магний; C55H70MgN4O6
*подобраны ИИ, возможны неточности
Ещё по теме
Хлорофиллы — строение, свойства и роль в фотосинтезе
Роль хлорофилла в фотосинтезе растений
Строение и функции хлоропластов
Хлор — свойства, получение и применение
Роль фитохрома в жизни растений
Фотосинтез — процесс жизни на Земле
Хлор — свойства, применение и роль в организме
Фотосинтез — основы и значение
Кислотный зелёный — свойства и токсичность
Гемоглобин — структура и функции
Растительные полисахариды — целлюлоза и крахмал