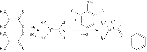
N,N-диметил-N'-(2,6-дихлорфенил)-С-хлорформамидина гидрохлорид

Брутто-формула (система Хилла): C9H12Cl2N2
Молекулярная масса (в а.е.м.): 219,11
Метод получения 1.
(лабораторный синтез)Источник информации: Яхонтов Л.Н., Глушков Р.Г. "Синтетические лекарственные средства" М.:Медицина, 1983 стр. 210
Через раствор 96 г тетраметилтиурамдисульфида в 1,2 л сухого метиленхлорида в течение 30-40 мин пропускают 200 г сухого хлора, поддерживая температуру 20-30°С охлаждением массы холодной водой; смесь дихлорида серы и метиленхлорида отгоняют, приливают 0,6 л сухого метиленхлорида, снова отгоняют; операцию отгонки повторяют еще раз. К остатку дважды приливают по 400 мл сухого метиленхлорида, каждый раз смесь перемешивают и растворитель отсасывают через грибок с пористым стеклянным фильтром. К остатку приливают 330 мл сухого метиленхлорида, прибавляют при 5-10°С раствор 98 г 2,6-дихлоранилина и 184 г триэтиламина в 70 мл сухого метиленхлорида, перемешивают 2,5 ч при 20-23°С и отфильтровывают гидрохлорид триэтиламина. Раствор упаривают в вакууме, остаток растворяют в 0,5 л ацетона, прибавляют спиртовой раствор HCl и охлаждают во льду. Осадок N,N-диметил-N'-(2,6-дихлорфенил)-С-хлорформамидина гидрохлорида фильтруют, промывают 3 раза по 50 мл метиленхлорида, сушат в вакууме в течение 1 ч.
Выход 150 г (85,7%).