Имид-амидная перегруппировка

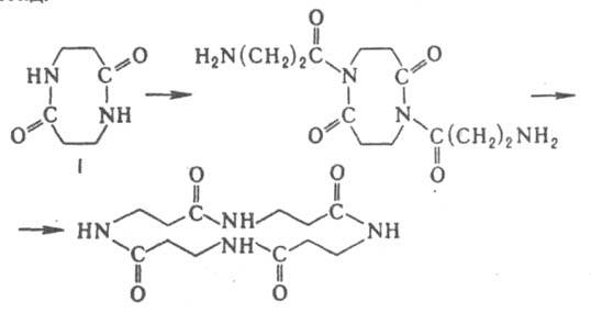
ИМИД-АМИДНАЯ ПЕРЕГРУППИРОВКА, превращ. бис-аминоациламинов в смесь изомерных амидов дипептидов, а также имидофосфатов в соответствующие амиды. Перегруппировка бис-аминоациламинов протекает обычно в слабокислых средах, напр.:
201_220-61.jpg
На соотношении продуктов р-ции сильно сказываются стерич. факторы, напр., N-глицил-N-аланиламин превращается в смесь, содержащую 54% глицилаланинамида и 45% аланилглицинамида, N-глицил-N-валиламин - в смесь 94% глицилвалинамида и 6% валилглицинамида. Перегруппировка используется в синтезе циклопептидов, напр., при превращ. циклодипептидов b-аланина (ф-ла I) в циклотетрапептид:
201_220-62.jpg
О перегруппировке имидофосфатов см. Имидофосфаты.
Литература
Houben Weyl, Methoden der organischen Chemie, 4 Aufl., Bd. 15, Tl. 1-2, Stuttg., 1974. Д. В. Давыдов.

Комментарии*

Имид-амидная перегруппировка — внутримолекулярная изомеризация, при которой происходит миграция ацильной группы между атомами азота в бис-аминоациламинах или перегруппировка имидофосфатов в амиды.

  • Механизм: В случае бис-аминоациламинов перегруппировка протекает через нуклеофильную атаку атома азота амидной группы на карбонильный углерод, что приводит к образованию изомерных дипептидных амидов.
  • Условия: Обычно катализируется слабыми кислотами.
  • Стереохимия: Стерические факторы сильно влияют на соотношение продуктов — объёмные заместители смещают равновесие в сторону менее стерически затруднённого изомера.
  • Применение: Используется в синтезе циклопептидов, например, для получения циклотетрапептидов из циклодипептидов.
*Подобраны с помощью LLM, верифицированы, но возможны неточности.