Кирхгофа уравнение
КИРХГОФА УРАВНЕНИЕ, термодинамич. соотношение, определяющее зависимость теплового эффекта р-ции от т-ры Т. Для р-ции при постоянном давлении р Кирхгофа уравнение имеет вид:
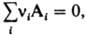
где DH=Qp - тепловой эффект, равный изменению энтальпии системы вследствие р-ции, DСр - изменение теплоемкости системы. Если р-цию записать в форме где vi - стехиометрия, коэф. в-ва Ai (vi>0 для продуктов
р-ции, vi<0 для исходных в-в), то DH и DСр рассчитывают по ф-лам:
где Hi - парциальная молярная энтальпия в-ва Аi, Срi - его парциальная молярная теплоемкость; тепловой эффект относят к одному пробегу р-ции, при к-ром число молей i-го в-ва изменяется на величину vi. Значение DH (DСр) представляет разность между энтальпиями (теплоемкостями) продуктов р-ции и исходных в-в, взятых в стехиометрич. соотношении. При расчетах Hi и Срi приравнивают обычно соответствующим значениям для чистого в-ва Аi. Для р-ции при постоянном объеме Кирхгофа уравнение имеет вид:

где DU=Qv - тепловой эффект, равный изменению внутр. энергии системы при одном пробеге р-ции;
разность теплоемкостей СV продуктов р-ции и исходных в-в. Кирхгофа уравнение позволяет рассчитать тепловой эффект р-ции при любой т-ре Т2, если известен тепловой эффект для к.-л. одной т-ры T1 и имеются данные о зависимости теплоемкостей участвующих в р-ции в-в от т-ры в интервале между Т1 и Т2. Интегрируя ур-ние (1), получим:
где DHT1 и DHT2 тепловые эффекты р-ции при т-рах Т1 и Т2. В частности, широко применяется след, форма ур-ния (4):

Здесь DH0 - гипотетич. тепловой эффект, к-рый бы наблюдался, если бы принимаемые в расчетах температурные зависимости теплоемкости были справедливы вплоть до абс. нуля т-р. Ур-ние (1) применяют для приближенного определения зависимости теплот испарения и сублимации от т-ры. В этих случаях DСр=Спарр-С*p (или Српар-Сртв). Однако при точных вычислениях следует учитывать, что с изменением т-ры равновесное давление двухфазной системы изменяется. Ур-ния (1) и (2) выведены Г. Р. Кирхгофом в 1858. Н А Смирнова
Ещё по теме
Кирхгофа уравнение — суть и применение
Тепловой эффект химической реакции
Тепловой эффект химической реакции
Критериальные уравнения конвективного теплообмена
Теплообмен по закону Ньютона-Рихмана
Теплоёмкость — виды и практическое применение
Тепловые эффекты органических реакций — методы расчёта и их применение
Основы термохимии — история, методы и применение
Вычисление теплот образования молекул
Уравнения состояния в термодинамике — типы, применение и особенности
Химическая термодинамика — основы и приложения
Формулы конвективного теплообмена
Энтальпия и энтропия — влияние на химические реакции
Кинетика ферментативных реакций — механизмы и применение
Теплота образования — понятие и методы определения
Закон Гесса — основы термохимии