Тепловой эффект реакции
ТЕПЛОВОЙ ЭФФЕКТ РЕАКЦИИ, теплота, выделенная или поглощенная термодинамич. системой при протекании в ней хим. р-ции. Определяется при условии, что система не совершает никакой работы (кроме возможной работы расширения), а т-ры реагентов и продуктов равны. Поскольку теплота не является ф-цией состояния, т.е. при переходе между состояниями зависит от пути перехода, то в общем случае тепловой эффект реакции не может служить характеристикой конкретной р-ции. В двух случаях бесконечно малое кол-во теплоты (элементарная теплота) dQ совпадает с полным дифференциалом ф-ции состояния: при постоянстве объема dQ = = dU (U-внутр. энергия системы), а при постоянстве давления dQ = dH (H-энтальпия системы).
Практически важны два типа тепловых эффектов реакции -изотермо-изобар-ный (при постоянных т-ре Т и давлении р) и изотермо-изо-хорный (при постоянных Т и объеме V). Различают дифференциальный и интегральный тепловые эффекты реакции. Дифференциальный тепловой эффект реакции определяется выражениями:

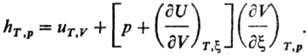
где ui, hi-соотв. парциальные молярные внутр. энергия и энтальпия; vi-стехиометрич. коэф. (vi > 0 для продуктов, vi<0 для реагентов); x = (ni - ni0)/vi,-хим. переменная, определяющая состав системы в любой момент протекания р-ции (ni и ni0 - числа молей i-го компонента в данный момент времени и в начале хим. превращения соотв.). Размерность дифференциального теплового эффекта реакции-кДж/моль. Если uT,V, hT,p > 0, р-ция наз. эндотермической, при обратном знаке эффекта-экзотермической. Два типа эффектов связаны соотношением:

Для идеального газа (9U/9V)T,x = 0 и учет ур-ния состояния pV = RT приводит к выражению:(R - газовая постоянная). Поэтому если
газофазная р-ция протекает с изменением числа молей, то hT,p . uT,V. Для конденсир. фаз в силу малости производной (9V/9V)T,р разность hT,p — uT,V мала и ею обычно пренебрегают. На практике обычно приходится иметь дело с изобарич. условиями (р = = const), когда тепловой эффект реакции совпадает с изменением энтальпии системы. Поэтому вместо термина "тепловой эффект реакции" используют термин "энтальпия р-ции". Тепловые эффекты hT,p, uT,V в общем случае зависят от состава системы, т. к. величины ui, hi изменяются по мере протекания р-ции.
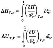
Интегральный тепловой эффект реакции в расчете на один пробег р-ции (изменение числа молей в-ва равно его стехиометрич. коэффициенту) измеряется в кДж и определяется ф-лами:

Если по условиям проведения р-ции hi не зависят от состава (р-ции в неплотных газах, в разб. р-рах), дифференциальный и интегральный тепловые эффекты реакции численно совпадают. В противном случае отнесение измеренного теплового эффекта реакции DHT,p к изменению числа молей реагента или продукта дает средний тепловой эффект реакции (кДж/моль).
Температурная зависимость теплового эффекта реакции дается Кирхгофа уравнением, применение к-рого, строго говоря, требует знания парциальных молярных теплоемкостей всех участвующих в р-ции в-в, однако в большинстве случаев эти величины неизвестны. Поскольку для р-ций, протекающих в реальных р-рах и др. термодинамически неидеальных средах, тепловые эффекты, как и др. парциальные молярные величины, существенно зависят от состава системы и эксперим. условий, разработан подход, облегчающий сопоставление энергетики разных р-ций и систематику тепловых эффектов реакций. Этой цели служит понятие стандартного теплового эффекта реакции (обозначается
). Под стандартным понимается тепловой эффект реакции, осуществляемой (часто гипртетичес-ки) в условиях, когда все участвующие в р-ции в-ва находятся в заданных стандартных состояниях. Дифференц. и интегральный стандартные тепловые эффекты реакции всегда численно совпадают. Стандартный тепловой эффект реакции легко рассчитать с использованием таблиц стандартных теплот образования или теплот сгорания в-в (см. ниже). Для неидеальных сред между реально измеренными и стандартными тепловыми эффектами реакций существует большое расхождение, что необходимо иметь в виду при использовании тепловых эффектов реакций в термодинамических расчетах. Напр., для щелочного гидролиза диацетимида [(СН3СО)2 NH (тв) + Н2О(ж) = = СН3СОКН2(тв) + СН3СООН(ж)+
] в 0,8 н. р-ре NaOH в водном этаноле (58% по массе этанола) при 298 К измеренный тепловой эффект реакции DH1 = — 52,3 кДж/моль. Для той же р-ции в стандартных условиях получено
= — 18,11 кДж/моль. Столь значит. разница объясняется тепловыми эффектами, сопровождающими растворение в-в в указанном р-рителе (теплотами растворения). Для твердого ацетамида, жидкой уксусной к-ты и воды теплоты растворения равны соотв.: DH2 = 13,60; DH3 = - 48,62; DH4 = - 0,83 кДж/моль, так что
= DH1 — DH2 - DH3 + DH4. Из примера видно, что при исследованиях тепловых эффектов реакций важны измерения тепловых эффектов сопутствующих физ.-хим. процессов.
Изучение тепловых эффектов реакций составляет важнейшую задачу термохимии. Осн. эксперим. метод -калориметрия. Совр. аппаратура позволяет изучать тепловые эффекты реакций в газовой, жидкой и твердой фазах, на границе раздела фаз, а также в сложных биол. системах. Диапазон типичных значений измеряемых тепловых эффектов реакций составляет от сотен Дж/моль до сотен кДж/моль. В табл. приводятся данные калориметрич. измерений тепловых эффектов нек-рых р-ций. Измерение тепловых эффектов смешения, растворения, разведения, а также теплот фазовых переходов позволяет перейти от реально измеренных тепловых эффектов реакций к стандартным.
Важная роль принадлежит тепловым эффектам реакций двух типов - теплотам образования соед. из простых в-в и теплотам сгорания в-в в чистом кислороде с образованием высших оксидов элементов, из к-рых состоит в-во. Эти тепловые эффекты реакций приводятся к стандартным условиям и табулируются. С их помощью легко рассчитать любой тепловой эффект реакции; он равен алгебраич. сумме теплот образования или теплот сгорания всех участвующих в р-ции в-в:

Применение табличных величин
позволяет вычислять тепловые эффекты мн. тысяч р-ций, хотя сами эти величины известны лишь для неск. тыс. соединений. Такой метод расчета непригоден, однако, для р-ций с небольшими тепловыми эффектами, т. к. расчетная малая величина, полученная как алгебраич. сумма неск. больших величин, характеризуется погрешностью, к-рая по абс. величине может превосходить тепловой эффект реакции. Расчет тепловых эффектов реакций с помощью величин
основан на том, что энтальпия есть ф-ция состояния. Это позволяет составлять системы термохим. ур-ний для определения теплового эффекта требуемой р-ции (см. Гесса закон). Вычисляют практически всегда стандартные тепловые эффекты реакций. Помимо рассмотренного выше метода расчет тепловых эффектов реакций проводят по температурной зависимости константы равновесия -ур-ния изобары и изохоры р-ции (см. Константа равновесия)с помощью ф-лы:
, где DG0 = RТ ln К-стандартная энергия Гиббса р-ции, К -константа равновесия, a DS0-стандартная энтропия р-ции, вычисляемая по стандартным энтропиям всех в-в, участвующих в р-ции.
Значение исследований тепловых эффектов реакций в химии очень велико. Знание тепловых эффектов реакций необходимо для расчетов тепловых балансов технол. процессов. Теплоты сгорания применяют при подборе оптим. топлив, расчетах уд. тяги ракетных двигателей, оценке калорийности продуктов. В практич. термодинамике тепловые эффекты реакций используют для расчета температурной зависимости констант равновесия, энтропийных эффектов хим. р-ций, при исследованиях кислотно-основных взаимодействий. Так, параметр полярности р-рителей (донорное число по Гутману), есть тепловой эффект реакции р-рителя со стандартной льюисовской к-той SbCl5. С помощью тепловых эффектов реакций определяют энергии хим. связей, рассчитывают термодинамич. ф-ции образования молекул и ионов в конкретных состояниях. Широко применяют тепловые эффекты реакций также в корреляционных соотношениях.
Лит.: Мортимер К., Теплоты реакций и прочность связей, пер. с англ., М., 1964; Пригожин И., Дефэй Р., Химическая термодинамика, пер. с англ., Новосиб., 1966; Термические константы веществ. Справочник, под ред. В.П.Глушко, в. 1-10, 1965-82. См. также лит. при статьях Калориметрия, Термохимия. М. Ю. Панов.