Региоселективность и региоспецифичность
РЕГИОСЕЛЕКТИВНОСТЬ И РЕГИОСПЕЦИФИЧНОСТЬ хим. р-ций. Р-ция наз. региоспецифичной, если в качестве единств. продукта (в пределах ошибки эксперимента) образуется один из двух или нескольких возможных регио-изомеров. Региоизомерами наз. изомеры, образующиеся в результате атаки реагента по одному из неск. возможных реакц. центров, имеющихся в молекуле субстрата. Если один изомер лишь преобладает в продуктах р-ции, то эта р-ция наз. региоселективной. Напр., присоединение несимметричного электроф. реагента НВг к несимметричному олефину С6Н5СН=СН2 (стиролу) осуществляется ре-гиоспецифично: образуется только один из двух возможных продуктов присоединения-С6Н5СНВrСН3, но не С6Н5СН2СН2Вr.
Для указания конкретного направления р-ции А. Хасснером предложена система обозначений (не получила широкого употребления): перед словом "региоспецифичность" или "региоселективность" располагают разделенные дефисом названия присоединенного фрагмента и геминального по отношению к нему заместителя в субстрате. Так, присоединение НВr к стиролу есть Br-фенил региоспецифичная р-ция. Термины "региоселективность" и "региоспецифичность" употребляют также в случаях разнообразных процессов, включающих элиминирование, раскрытие цикла, циклопри-соединение и т.д. Напр., р-ция отщепления НВг от трет-пентилбромида под действием основания протекает регио-селективно (по правилу Гофмана):

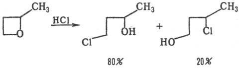
Раскрытие цикла 2-метилоксетана в соляной к-те идет также региоселективно:

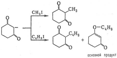
Р-ции Дильса-Альдера, 1,3-диполярного циклоприсоеди-нения, как правило, региоспецифичны или, по крайней мере, региоселективны. Алкилирование енолят-аниона 1,3-цикло-гександиона метилиодидом-С-региоспецифичная р-ция, а бутилиодидом -О-региоселективная:

Термины "региоселективность" и "региоспецифичность" введены в 1968 Хасснером и широко используются в хим. литературе.
Лит.: Hassner A., "J. Org. Chem.", 1968, v. 33, № 7, p. 2684-86.
А. Г. Кутателадзе.