Термодинамические потенциалы
ТЕРМОДИНАМИЧЕСКИЕ ПОТЕНЦИАЛЫ, ф-ции параметров состояния макроскопич. системы (т-ры Т, давления р, объема V, энтропии S, чисел молей компонентов ni, хим. потенциалов компонентов m, и др.), применяемые гл. обр. для описания термодинамического равновесия. Каждому термодинамическому потенциалу соответствует набор параметров состояния, наз. естественными переменными.
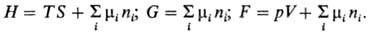
Важнейшие термодинамические потенциалы: внутренняя энергия U (естественные переменные S, V, ni); энтальпия Н= U — (— pV) (естественные переменные S, p, ni); энергия Гельмгольца (свободная энергия Гельмгольца, ф-ция Гельмгольца) F = = U — TS (естественные переменные V, Т, ni); энергия Гиббса (своб. энергия Гиббса, ф-ция Гиббса) G=U — — TS — (— pV) (естественные переменные p, Т, ni); большой термодинамич. потенциал(естественные переменные V, Т, mi).
Термодинамические потенциалы могут быть представлены общей ф-лой

где Lk - интенсивные параметры, не зависящие от массы системы (таковы Т, p, mi), Xk-экстенсивные параметры, пропорциональные массе системы (V, S, ni). Индекс l = 0 для внутренней энергии U, 1-для H и F, 2-для G и W. Термодинамические потенциалы являются ф-циями состояния термодинамической системы, т.е. их изменение в любом процессе перехода между двумя состояниями определяется лишь начальным и конечным состояниями и не зависит от пути перехода. Полные дифференциалы термодинамических потенциалов имеют вид:

Ур-ние (2) наз. фундаментальным ур-нием Гиббса в энергетич. выражении. Все термодинамические потенциалы имеют размерность энергии.
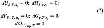
Условия равновесия термодинамич. системы формулируются как равенство нулю полных дифференциалов термодинамических потенциалов при постоянстве соответствующих естественных переменных:

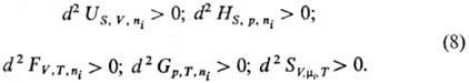
Термодинамич. устойчивость системы выражается неравенствами:

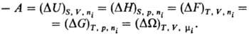
Убыль термодинамических потенциалов в равновесном процессе при постоянстве естественных переменных равна максимальной полезной работе процесса А:

При этом работа А производится против любой обобщенной силы Lk, действующей на систему, кроме внеш. давления (см. Максимальная работа реакции).
Термодинамические потенциалы, взятые как ф-ции своих естественных переменных, являются характеристическими ф-циями системы. Это означает, что любое термодинамич. св-во (сжимаемость, теплоемкость и т. п.) м. б. выражено соотношением, включающим только данный термодинамический потенциал, его естественные переменные и производные термодинамических потенциалов разных порядков по естественным переменным. В частности, с помощью термодинамических потенциалов можно получить уравнения состояния системы.
Важными св-вами обладают производные термодинамических потенциалов. Первые частные производные по естественным экстенсивным переменным равны интенсивным переменным, напр.:

[в общем виде: (9Yl/9Хi) = Li]. И наоборот, производные по естественным интенсивным переменным равны экстенсивным переменным, напр.:

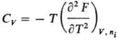
[в общем виде: (9Yl/9Li) = Xi]. Вторые частные производные по естественным переменным определяют мех. и тер-мич. св-ва системы, напр.:

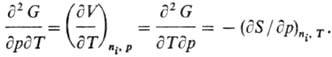
Т.к. дифференциалы термодинамических потенциалов являются полными, перекрестные вторые частные производные термодинамических потенциалов равны, напр. для G(T, p, ni):

Соотношения этого типа называются соотношениями Максвелла.
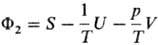
Термодинамические потенциалы можно представить и как ф-ции переменных, отличных от естественных, напр. G(T, V, ni), однако в этом случае св-ва термодинамических потенциалов как характеристич. ф-ции будут потеряны. Помимо термодинамических потенциалов характеристич. ф-циями являются энтропия S (естественные переменные U, V, ni), ф-ция Массье Ф1 =
(естественные переменные 1/Т, V, ni), ф-ция Планка
(естественные переменные 1/Т, p/Т, ni).
Термодинамические потенциалы связаны между собой ур-ниями Гиббса-Гельмгольца. Напр., для H и G

В общем виде:

Термодинамические потенциалы являются однородными ф-циями первой степени своих естественных экстенсивных переменных. Напр., с ростом энтропии S или числа молей ni пропорционально увеличивается и энтальпия Н. Согласно теореме Эйлера, однородность термодинамических потенциалов приводит к соотношениям типа:

В хим. термодинамике, помимо термодинамических потенциалов, записанных для системы в целом, широко используют среднемолярные (удельные) величины (напр.,
, парциальные молярные величины [напр., стандартные изменения термодинамических потенциалов в к.-л. процессе.
напр., стандартное изменение энтальпии при хим. р-ции равно разности энтальпий продуктов и исходных в-в, когда и те и другие находятся при заданных (выбранных) условиях, чаще всего при определенном внеш. давлении. Важные стандартные величины-стандартные энтальпии образования хим. соед.
, энергии Гиббса образования хим. соед.
и т.п.
В статистической термодинамике пользуются аналогами энергии Гельмгольца и большого термодинамич. потенциала, к-рым отвечают соответственно канонич. и макрокано-нич. распределения Гиббса. Это позволяет рассчитывать термодинамические потенциалы для модельных систем (идеальный газ, идеальный р-р) по молекулярным постоянным в-ва, характеризующим равновесную ядерную конфигурацию (межъядерные расстояния, валентные и торсионные углы, частоты колебаний и т. п.), к-рые м. б. получены из спектроскопич. и др. данных. Возможен расчет термодинамических потенциалов через сумму по состояниям Z (интеграл по состояниям). Подобный подход позволяет установить связь термодинамических потенциалов с молекулярными постоянными в-ва. Вычисление суммы (интеграла) Z для реальных систем-весьма сложная задача, обычно статистич. расчеты применяют для определения термодинамических потенциалов идеальных газов.
Лит.: Кричевский И. Р., Понятия и основы термодинамики, М., 1962; Мюнстер А., Химическая термодинамика, пер. с нем., М., 1971.
М. В. Коробов.