Фотосенсибилизирующие средства
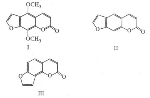
ФОТОСЕНСИБИЛИЗИРУЮЩИЕ СРЕДСТВА (от греч. phos, род. п. photos - свет, лат. sensibilis - чувствительный), лек. в-ва, повышающие чувствительность тканей к облучению УФ или оптич. излучением. Наиб. широко фотосенсибилизирующие средства используют для лечения кожных заболеваний: псориаза, нейродермита, витилиго, грибовидного лишая и др. Такими св-вами обладают прир. фурокумарины, выделенные из разл. растений. К ним относятся след, препараты: 1) бероксан, содержащий смесь двух фурокумаринов - ксантотоксина и бергаптена, выделенных из плодов пастернака посевного (Pastinaca sativa) семейства зонтичных (Umbelliferae); 2) пувален, содержащий ксантотоксин; 3) аммифурин, содержащий смесь изопимпи-неллина (ф-ла I), бергаптена и ксантотоксина, выделенных из семян амми большой (Ammi majus) семейства зонтичных; первый из них представляет собой светло-желтые кристаллы, практически не раств. в воде, плохо раств. в этаноле, хорошо - в хлороформе; 4) псорален, содержащий два изомерных фурокумарина - псорален (П) и изопсорален (Ш), находящиеся в плодах и корнях псоралеи костянковой (Psoralea druрасеа) семейства бобовых (Leguminosae); препарат представляет собой бесцв. кристаллы со слабым ароматным запахом, плохо раств. в воде и этаноле, хорошо - в хлороформе; 5) псоберан - смесь псоралена и бергаптена, полученная из листьев смоковницы обыкновенной, или инжира (Ficus carica), семейства тутовых (Могасеае) - бесцв. кристаллы с характерным запахом, не раств. в воде, плохо раств. в этаноле.

Эти в-ва стимулируют образование пигмента меланина меланоцитами, вызывая впоследствии гиперпигментацию кожи. Лечебное действие фурокумаринов объясняют их взаи-мод. с тиминовыми основаниями ДНК при УФ облучении, в результате чего ослабляется процесс репликации ДНК и снижается частота митозов в клетках эпидермиса.
Существуют фотосенсибилизирующие средства, напр. фталоцианины, для фотодиагностики и фототерапии раковых опухолей.
Лит.: H а г b e r L.C., Bickers D.R., Photosensitivity diseases. Principles of diagnosis and treatment, Phil., 1981. E.M. Ганкина.