Пигменты
ПИГМЕНТЫ (от лат. pigmen turn-краска), высокодисперсные порошкообразные красящие в-ва, практически нерастворимые (в отличие от красителей) в воде, орг. р-рителях, пленкообразователях и др. окрашиваемых средах. Подразделяют на орг. и неорг., ахроматин., к к-рым относятся черные, белые (только неорг. пигменты) и нейтрально-серые, и хроматич. (пигменты всех др. цветов).
Применяют пигменты в основном для изготовления лакокрасочных материалов (напр., эмалей, красок, в т. ч. полиграфич. и художественных), а также для крашения в массе пластмасс, резин, РТИ, синтетич. волокон, пленок, бумаги, искусств, кожи, строит, материалов, силикатных глазурей (только неорг. пигменты), косметич. препаратов и др. (см., напр., Крашение пластических масс, Крашение резино-технических изделий, Крашение бумаги, Крашение кожи).
Пигменты полидисперсны; гранулометрии, (дисперсионный) состав их оказывает большое влияние на оптич. и технико-эко-номич. характеристики. Определяющее значение имеет размер первичных частиц-кристаллов пигментов, возникающих и растущих в ходе его синтезами образующихся из них прочных агрегатов и агломератов. Для каждого пигмента существует свой оптически оптимальный размер частиц (лежит в пределах 0,2-1,0 мкм), при к-ром основные оптич. св-ва - рассеяние, поглощение я отражение света (избирательное для хроматич. пигментов)-максимальны; поэтому расход такого пигмента для окраски минимален. Практически размер агрегатов пигментов составляет 0,2-40 мкм. Усредненным показателем дисперсности пигментов служит уд. пов-сть (Sуд), к-рая лежит в пределах 0,1-70 м2/г.
Свойства пов-сти частиц пигментов (свободная энергия, кол-во и сила активных центров кислотного и основного характера, изоэлектрич. точка, кол-во дефектов кристаллич. решетки-вакансий, дислокаций) определяют размеры и прочность агрегатов, адсорбционное взаимод. с окрашиваемой средой (величину и св-ва адсорбционно-сольватных межфазных слоев). Поверхностные св-ва пигментов регулируют технологией произ-ва, дополнит. обработкой и модифицированием пов-сти с помощью ПАВ.
Введение пигментов в окрашиваемые материалы (пигментиро-вание) сочетают с дезагрегацией, т.е. с разрушением больших рыхлых агломераторов и прочных агрегатов пигментов на более мелкие частицы, в пределе до первичных, и равномерным распределением их в объеме с образованием устойчивой микрогетерогенной системы. Этот процесс диспер-гирования успешно осуществляется только в условиях: 1) полного смачивания пов-сти пигментов компонентами окрашиваемой среды; 2) наличия адсорбционного взаимод. с окружающей средой, содержащей ПАВ-диспергаторы, в присут. к-рых облегчаются и углубляются мех. разрушения агрегатов под действием сдвиговых усилий в смешивающих и перетирающих машинах; 3) формирования межфазных адсорбционно-сольватных слоев достаточной толщины для стабилизации дисперсий пигментов от повторного сближения частиц, коагуляции и флокуляции.
Диспергирование проводят в р-рах или расплавах оли-гомеров или полимеров при определенных реологич. характеристиках окрашиваемых смесей, используя соответствующие машины, смесители и диспергаторы.
Для сохранения дисперсности пигментов от необратимой коагуляции и фазового срастания частиц при сушке используют водные пасты пигментов после их промывки и фильтрации для изготовления водоразбавляемых красок, окраски бумажной массы, строит. и др. материалов. Для пигментирования безводных материалов с помощью ПАВ отделяют воду и, смешивая и диспергируя, переводят пигменты в орг. среду (чаще всего в полимеры, а также в нелетучие р-рители, пластификаторы, олигомеры), получая т. наз. фляшинг-пасты, применяемые для диспергирования в пигментируемых материалах.
В целях улучшения пигментных, технол. и экологич. Cв-в, устранения слеживания и пыления, облегчения диспергирования пигменты переводят в т. наз. выпускные формы: легкодиспергируемые порошки, пасты (концентраты в связую-щих-носителях-чаще в олигомерах и полимерах), твердые частицы (стружки-чипсы), микрокапсулы, гранулы и таблетки. Выпускные формы не универсальны и применимы только для соответствующих их специфике материалов.
Неорг. пигменты помимо цвета придают пигментированным материалам непрозрачность и защищают полимеры от фотодеструкции. Твердые частицы неорг. пигментов, особенно игольчатой и чешуйчатой форм, структурируют и армируют лакокрасочные покрытия, увеличивая их прочность, твердость, водо- и атмосферостойкость. Многие неорг. пигменты химически защищают металлы от коррозии (их используют для изготовления грунтовок).
Орг. пигменты имеют лишь декоративное значение. От неорг. пигментов они отличаются более широкой цветовой гаммой, более высокой чистотой и яркостью тона, очень высокой красящей способностью, но меньшей устойчивостью к воздействию орг. р-рителей, меньшей миграционно-, свето- и атмосферо-стойкостью.
Табл. 1.-НАИБОЛЕЕ ВАЖНЫЕ НЕОРГАНИЧЕСКИЕ ПИГМЕНТЫ
| Цвет | Декоративно-защитные | Противокоррозионные | Целевого назначения* | ||
| Белые | Диоксид титана TiO2 (рутил, анатаз) Цинковые белила (оксид цинка) ZnO Литопон ZnS·BaSO4 | Свинцовые белила 2PbCO3·Pb(OH)2 Фосфат цинка Zn3 (PO4)2·nН2О | Типографские белила Al(OH)3; Al2O3 Светящийся сульфид цинка ZnS Алюминат цинка (светотехн.) ZnAl2O4 Титанаты Mg, Al, Zn(T) Борат бария BaB2O4·nН2О (Б) | ||
| Черные | Техн. углерод (сажи, черни) С Смешанный оксид железа (II, III) Fe3O4 | — | Титанаты Fe3+ , Cu2+ , Со2+ (T, X) | ||
| Серые | Алюминиевая пудра Al | Цинковая пыль Zn Свинцовый порошок Pb + PbO Железная слюдка Fe2O3 | | ||
| Желтые | Титанаты Ni2 + , Fe2+ (T,X) Кадмопон (CdS)3·BaSO4 (T, X) Сульфид кадмия CdS (T, X) | ||||
| Красные | Оксид меди (I) CuO (Б) Сульфид-селенид кадмия CdS·nCdSe (X) | ||||
| Оранжевые | — | Свинцовый крон PbCrO4·PbO | — | ||
| Синие | Железная лазурь Fe4[Fe(CN)6]3·K4Fe(CN)6·nH2O Ультрамарин 2[Na2O·Al2O3·3SiO2]·Na2S4 | | Алюминат кобальта CoO·Al2O3 (T,X) | ||
| Зеленые | Оксид хрома Cr2O3 Изумрудная зелень Cr2O3 ·nН2О Зелени смешанные (желтые + синие) | Фосфат хрома CrPO4·nH2O | |||
* Принятые обозначения пигментов: T - термостойкие; X-для художеств. красок; Б бактерицидные.
Для оценки качества пигментов используют ряд техн.-экономич. характеристик. Укрывистость (кроющая способность) -св-во делать невидимым цвет окрашиваемых подложек; оценивает расход пигментов (г/м2), к-рый уменьшается с увеличением разности показателей преломления пигментов (nD>l,55) и окружающей среды (для орг. в-в nD 1,48-1,55). В-ва, у к-рых nD
1,55, служат наполнителями, или т. наз. функциональными пигментами (увеличивают массу, твердость, газонепроницаемость, снижают расход дефицитных и дорогих пигментов). Неукрывистые (прозрачные), т. наз. лессирующие, пигменты применяют ограниченно, напр. ультрамарин (для подсинивания белых материалов), типографские белила и нек-рые пигменты для художеств. красок и эмалей со спец. оптич. эффектами. Органические пигменты в большинстве случаев лессирующие. Красящая способность (интенсивность)-способность цветных пигментов влиять на цвет полученной пигментной смеси или композиции; чем выше красящая способность, тем меньшее кол-во пигментов требуется для доведения смеси до стандартного оттенка; оценивается (как и разбеливающая способность белых неорганических пигментов) относит. величиной (%), получаемой путем сравнения кол-в испытуемого и эталонного пигмента.
Mаслоемкоcть-кол-во масла (г), необходимое для смачивания и превращения 100 г порошка пигмента в нетекучую пасту. Пигменты характеризуют также по цвету, его оттенку, яркости и чистоте тона, светостойкости, устойчивости к хим. реагентам и орг. р-рителям, фотохим. активности, термо- и миграционной устойчивости, диспергируемости и др. Все эти св-ва при одинаковом хим. составе зависят от кристал-лич. структуры, формы и размера частиц пигментов.
В случае полиморфных в-в не все кристаллич. структуры их м. б. пигментами. Так, TiO2 структур рутила и анатаза-хорошие неорганические пигменты (структуры брукита- плохие); железооксидные и другие неорганические пигменты игольчатой и пластинчатой форм отличаются от зернистых цветом и высокими защитными св-вами.
Неорганические пигменты. По происхождению различают природные и синтетические неорганические пигменты, по назначению -декоративные, декоративно-защитные, противокоррозионные и целевого назначения, к к-рым относят полиграфические, художественные, сигнальные (светящиеся), светотехнические, термоиндикаторные, бактерицидные, термостой кие и др. Хим. состав и назначение пигментов, имеющих наиб. практич. значение, приведены в табл. 1; из них ок. 70% от общего объема произ-ва приходится на белые пигменты, св-ва к-рых приведены в табл. 2.
Природные неорганические пигменты (напр., железный сурик, мумия, охры, умбра)получают из минералов. В произ-ве синтетич. неорганических пигментов используют след. способы: хим. осаждение из водных р-ров и суспензий (напр., литопон, кроны, железная лазурь); прокаливание смесей твердых в-в [напр., ультрамарин- из каолина и серы, Cr2O3-из хромпика, TiO2 - из гидратир. диоксида титана TiO(OH)2]; р-циями в паровой или газовой фазе с послед, конденсацией продуктов r-ций (ZnO - из Zn, TiO2 - из TiCl4, техн. углерод-из прир. газа).
Для придания пигментных Cв-в продукты синтеза и природные пигменты подвергают разл. обработкам (напр., промывке, фильтрации, водному размолу, сушке, измельчению, микро-низации, модифицированию и др.). Модифицированные неорганические пигменты кроме осн. красящего в-ва содержат разнообразные добавки ПАВ и неорг. в-в (напр., зародышей, модификаторов и стабилизаторов кристаллич. структуры).
Табл. 2. СВОЙСТВА БЕЛЫХ ПИГМЕНТОВ
| Пигмент | nD | Плотн., г/см3 | Оптим. размер частиц, мкм | Sуд. м2/г | Укрывис-тость, г/м2 | Масло-емкость, г/ 100 г | пдк. мг/м3 | ||
| Диоксид титана | | ||||||||
| рутил | 2,72 | 4,20 | 0,18 | 7-20 | 25-40 | 17-20 | 10 | ||
| анатаз | 2,55 | 3,85 | 0,20 | 9-15 | 30-45 | 20-25 | 10 | ||
| Цинковые белила | 2,05 | 5,50 | 0,47 | 6-10 | 100-140 | 12-18 | 0,5 | ||
| Литопон | 1,84 | 4,30 | 0,29 | 1,5-3,0 | 110-140 | 13-15 | 0,5 | ||
| Свинцовые белила | 2,09 | 6,65 | 0,49 | 1,25 | 140-200 | 9-12 | 0,01 | ||
Так, разные марки пигментного TiO2 содержат до 4,5% SiO2, 7,5% Al2O3, 3% ZnO, снижающих фотоактивностъ, коагуляцию и флокуляцию, а также орг. модификаторы. В т. наз. оболочковых, или керновых (от нем. Kern-ядро), неорганических пигментах пигментные в-ва образуют внеш. оболочку частиц (10-30% общей массы), полученную осаждением на наполнитель (ядро), напр. на тальк, каолин, белую сажу, аэросил; пример оболочкового пигменты-силико-хромат Pb.
Модифицированием сначала неорг. в-вами, а затем ПАВ и микронизацией получают легкодиспергируемые пигменты; смешением их с малыми кол-вами пластификаторов, олигомеров или полимеров готовят т. наз. выпускные формы. Максимальное практич. использование оптич. св-в белых пигментов достигнуто созданием микрокапсулированных в орг. полимерной оболочке (размер 0,4-0,6 мкм) частиц TiO2 (0,2-0,3 мкм) совместно с пузырьком воздуха. В этом случае увеличивается разность nD на границе с воздухом, что стабильно повышает укрывистость пигментов и снижает их расход на 30% в водоразбавляемых красках.
Мировое произ-во неорганических пигментов (без техн. углерода) составило 4,3-4,5 млн. т (1985); из них 2,3-2,6 млн. т TiO2, 0,57 млн. т синтетических железооксидных пигментов.
Токсичные неорганические пигменты, содержащие Pb, Cr, Cd, заменяют экологически безвредными ферритами, титана-тами, алюминатами.
Лит.: Ермилов П. И., Диспергирование пигментов, M., 1971; Беленький Е.Ф., Рискин И. В., Химия и технология пигментов, 4 изд., Л., 1974; Калинская T. В., Доброневская С. Г., Аврутина Э. А., Окрашивание полимерных материалов, Л., 1985; Ермилов П. И., Индейкин E. А., Толмачев И. А., Пигменты и пигментированные лакокрасочные материалы, Л., 1987; Индейкин E. А., Ермилов П. И., "Ж. Всес. хим. об-ва им. Д. И. Менделеева", 1988, т. 33, № 1, с. 72-79. П. И. Ермилов.
Органические пигменты. Наиб. практич. значение имеют азопиг-менты и азолаки, трифенилметановые, фталоцианиновые и полициклические пигменты.
Технол. схема произ-ва органических пигментов включает стадии синтеза, фильтрования, промывки, сушки, размола; в нек-рых случаях после синтеза осуществляют спец. обработку (финиш-процесс) для придания продуктам необходимой красящей способности и комплекса физ.-хим. св-в, улучшающих условия их применения. Финиш-процесс проводят: мех. измельчением пигментов в присут. солей (CaCl2, NaCl, Na2SO4) и орг. р-рителей или без них с послед. обработкой ПАВ или резинатом Ca; переосаждением из р-ров в конц. серной, полифосфорной или др. к-т; нагреванием в орг. р-рителях.
Выпускают органические пигменты (как и неорганические) в виде порошков и спец. выпускных форм (т. наз. препарированных). Необходимое качество первых достигается подбором оптим. условий синтеза, модифицирующих добавок (содержание до 5%), условий фильтрования, сушки, размола. Выпускные формы содержат 30-50% препарирующего агента, выбор к-рого определяется областью применения; выпускают их в твердом виде и в виде паст (получают методом "фляшинга"). Препарирующими агентами служат, напр., нитроцеллюлоза (для нитроэмалей и красок для глубокой печати), канифоль и ее производные (для печатных красок и эмалей), сополимер винилхлорида с винилацетатом (для крашения ПВХ в массе и печати на нем, для полиэтилена).
Пигментные водные пасты (получают диспергированием водных паст пигментов с разл. ПАВ) содержат 15-45% пигментов, 40-50% воды и спец. добавки (напр., антифриз, противомикробные). Безводные пигментные фляшинг-пасты в пластификаторе, напр. диоктил- или дибутилфталате, содержат ~40% органического пигмента.
Существуют также выпускные формы органических пигментов, в состав к-рых входит наполнитель (CaCO3) или неорганический пигмент, напр. TiO2; получают мех. смешением сухих компонентов или азосочетанием в дисперсии неорг. пигмента.
Для крашения пластмасс используют концентраты и суперконцентраты пигментов.
Азопигменты -самая многочисл. группа органических пигментов (50-60% от общего произ-ва). Цвет от зеленовато-желтого до фиолетового; обладают высокой красящей способностью и яркостью (см. также Азокрасители). В пром-сти получают двумя способами: 1. Азосочетанием в водной или водно-орг. среде с использованием р-рителей, смешивающихся с водой, в присут. ПАВ при 20-60 0C и рН 4-10. Азосоставляющие (ариламиды ацетоуксусной и З-гидрокси-2-нафтойной к-т, пиразолоны и 2-нафтол) применяют в виде щелочного р-ра или свежеосажденной тонкодисперсной суспензии. Диазосос-тавляющими для моноазопигментов служат замещенные анилина, содержащие, напр., атом Cl, группу NO2, CH3, OCH3 или SO2N(C2H5)2, для дисазопигментов - замещенные бензидина, содержащие атом Cl, группу CH3 или OCH3. Крупнотоннажные азопигменты получают по непрерывной технологии. Наиб. важны из них пигменты: желтый светопрочный (ф-ла I, а), светопрочный 23 (I, б), желтые прозрачные (II), оранжевый (III), алый (IV), ярко-красные (V,а,б). Они характеризуются хорошей свето- и атмосферостойкостью, но недостаточно устойчивы к действию орг. р-рителей, нестойки выше 180-200 0C и к миграции в ПВХ.

Большей устойчивостью к действию р-рителей и миграции, чем перечисленные выше органические пигменты, обладают азопигменты на основе ариламидов ацетоуксусной и 3-гид-рокси-2-нафтойной к-т, содержащие неск. карбоксамидных групп, напр. синтезируемые из З-нитро-4-аминоанизола и 4-карбамоил- или 3,5-дикарбамоиланилидов ацетоуксусной к-ты (соотв. желтый и оранжевый пигменты для крашения резин и ПВХ). Высокопрочны азопигменты, содержащие карбокса-мидные группы в 5- или 6-членном гетероцикле, входящем в состав диазо- или азосоставляющей. Так, желтые, оранжевые и красные азопигменты получают из ариламидов ацетоуксусной и З-гидрокси-2-нафтойной к-т, содержащих остаток 5-аминобензимидазолона.
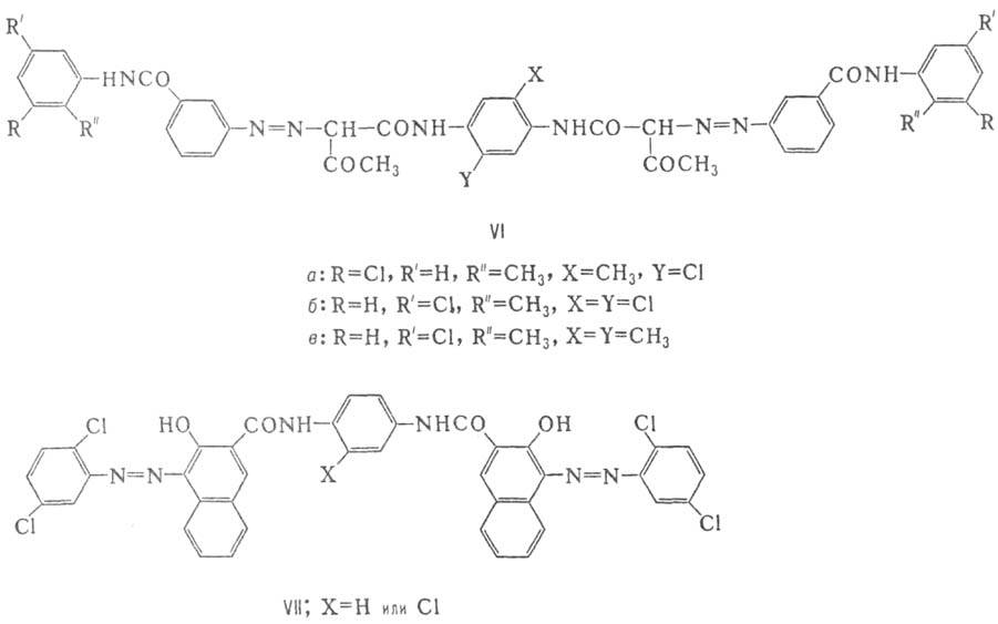
2. Ацилированием ароматич. диаминов (преим. 1,4-фе-нилендиамина и его хлорзамещенных) азокрасителями, содержащими хлорформильные группы, в среде орг. р-рителей синтезируют т. наз. конденсационные дисазопигмен-ты, напр. желтые (VI) и красные (VII). Они обладают высокой мол. массой (800 и выше), благодаря чему устойчивы к миграции, действию орг. р-рителей, свето-, атмосферо-, термостойки.
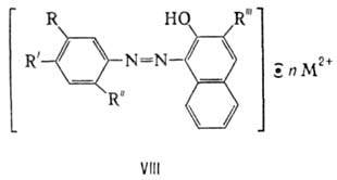
Азолаки-соли (Ba, Ca, Sr или Mn) моноазокрасителей, содержащих сульфо- или карбоксильные группы. Получают обработкой солями металлов водных р-ров Na- или NH4 - солей соответствующих красителей. Обладают высокой красящей способностью, хорошей устойчивостью к действию орг. р-рителей, недостаточно свето- и термостойки (кроме Mn-солей), неустойчивы в щелочах и к-тах.
Практически важны: рубиновый (Са-соль моноазокраси-теля из 2-амино-5-метилсульфокислоты и З-гидрокси-2-нафтойной к-ты), красные (Ca-, Sr- и Mn-соли моноазокра-сителя из 2-амино-4-хлор-5-метилсульфокислоты и 3-гид-рокси-2-нафтойной к-ты) и красный (Ва-соль моноазокраси-теля из 2-амино-5-хлор-4-метилсульфокислоты и 2-нафто-ла)-ф-ла VIII, а, б, в соотв.:
Трифенилметановые пигменты-нерастворимые соли основных трифенилметановых красителей, из к-рых наиб. значение имеют синие, фиолетовые и зеленые лаки основные и пигмент синий трифенилметановый (см. также Арилметановые красители).
Фталоцианиновые пигменты отличаются высокой красящей способностью, устойчивостью к действию орг. р-рителей и миграции в ПВХ, свето- и термостойкостью. Наиб. практически важны голубые фталоцианиновые пигменты (неустойчивая и устойчивая a-модификации и b-модификация фталоциани-на Cu, соответствующие a-модификации фталоцианина, не содержащего металл, т. наз. безметалльного) и зеленый (пер-хлорфталоцианин Cu). Получают разл. способами обработки фталоцианина Cu (о его синтезе см. Фталоцианиновые . красители): голубые пигменты в виде a-неустойчивой модификации - переосаждением из 8-10-кратного кол-ва конц. H2SO4 или мех. размолом с ней (2-3-кратное кол-во), в виде b-модификации - в осн. пластичным размолом в орг. среде в присут. минер. солей; голубой пигмент в виде a-устойчивой модификации получают аналогично a-неустойчивой модификации, но из частично хлорир. фталоцианина Cu (~ 1 атом хлора на молекулу). Зеленый пигмент получают всеми указанными выше способами синтеза для голубых пигментов.
Фталоцианиновым пигментам свойственно явление флоку-ляции - недостаточная агрегативная устойчивость в полиграфич. красках для глубокой печати и эмалях, особенно в смеси с неорганическими пигментами; проявляется в снижении красящей способности и блеска, в расслаива- -нии эмалей и красок при хранении. Нефлокулирующие пигменты (устойчивой а- и b-модификаций) получают введением в процессе получения пигментных форм спец. добавок, напр. фталоцианина Cu, содержащего группы SO3H, и их нерастворимых в воде Ba- или Са-солей, солей с алифатич. аминами, фталоцианинов Со, Mn, Ti, Sn, Al, Mg.
Полициклические пигменты имеют цвета от желтого до фиолетового. Обладают высокой термо-, свето- и атмосферостойкостью, устойчивостью к действию орг. р-рителей и к миграции. Технол. процесс получения этих пигментов включает синтез пигментов и финиш-процесс. Ниже приведены осн. типы этих пигментов.
Пигменты, получаемые на основе полициклических кубовых красителей, включают след. наиб. важные представители: ин-дантроновый синий (см. также Индантрон)и ярко-оранжевый на основе дибромантантрона; желтый на основе фла-вантрона (IX), оранжевый на основе хлорзамещенного пи-рантрона, красные на основе бром-, хлор-, а также бром-замещенных пирантронов (X); красный 4,4'-диамино-1,1'-диантрахинонил; периноновые пигменты- транс- и цис-изомеры продукта взаимод. нафталин-1,4,5,8-тетракарбоновой к-ты с о-фенилендиамином (см. Периноновые красители), причем цис-изомер (цвета бордо) менее устойчив к миграции и действию орг. р-рителей, чем оранжевый транс-изомер.
Периленовые пигменты-диимиды перилен-3,4,9,10-тетракарбо-новой к-ты (XI); получают взаимод. диангидрида к-ты с водным аммиаком (красно-фиолетовый пигмент) или алифатич. (реже ароматич.) аминами, напр. с метиламином синтезируют пигменты цвета бордо.

Хинакридоновые пигменты-линейный транс-охинакридон (XII) и его галоген- и метилзамещенные; обладают очень высокой светостойкостью, высокой красящей способностью, миграционно- и термоустойчивы. Осн. методы синтеза: ди-эфир янтарной к-ты нагревают с алкоголятом Na в высококипящем орг. р-рителе (напр., в даутерме), образовавшийся диалкилсукцинилсукцинат конденсируют с первичным аро-матич. амином, получая диэфир 2,5-диариламино-3,6-дигид-ротерефталевой к-ты, к-рый подвергают циклизации и окислению (напр., Na-солью м-нитробензолсульфокислоты) в этиленгликоле; 2,5-дигалогентерефталевую к-ту или ее диэфир конденсируют с анилином, полученную 2,5-дифениламинотерефталевую к-ту циклизуют в присут. AlCl3, TiCl4 либо P2O5 в орг. р-рителе или полифосфорной к-те; 2,5-дифениламинотерефталевую к-ту циклизуют в конц. H2SO4, образующееся дисульфопроизводное хинакридона превращают в дикалиевую соль и подвергают гидролизу в 5-10%-ной серной или фосфорной к-те.

В зависимости от метода получения выпускных форм линейный транс-хинакридон может иметь разл. модификации, из к-рых практически важны g- и b-модификации (розовая и фиолетовая соотв.).
Диоксазиновые пигменты- производные трифендиоксазина. В пром-сти синтезируют только фиолетовый диоксазиновый пигмент из тетрахлор-n-бензохинона и 3-амино-N-этилкарбазола, по красящей способности в 6-10 раз превосходящий другие пигменты (см. Оксазиновые красители).

Среди тиоиндигоидных пигментов наиб, важен 4,4',7,7'-тетрахлортиоиндиго (XIII) красно-фиолетового цвета. См. также Тиондигоидные красители.
Прочие пигменты. Кроме перечисленных выше практич. значение имеют органические пигменты других хим. групп: желтые и красные азометиновые и их металлич. (Ni, Cu) комплексы (см. также Азометиновые красители), желтые, оранжевые и красные производные 4,5,6,7-тетрахлоризоиндолинона, пигмент глубоко-черный (анилиновый черный), пигмент зеленый - Fe-комп-лекс 1-нитрозо-2-нафтола.
Лит.: Ленуар И., в кн.: Химия синтетических красителей, под ред. К. Венкатарамана, пер. с англ., т. 5, Л., 1977, с. 274-427; Степанов Б. И., Введение в химию и технологию органических красителей, 3 изд., M., 1984; Выпускные формы органических пигментов. Обзорная информация НИИТЭХИМ, M., 1984; Merkle K., SchiiferH., Pigment handbook, ed. by T. Patton, v. 3, N. Y.-[a.o.], 1973, p. 157-67; Herbst W., Hunger K., Industrialle organische Pigmente, Weinheim-N. Y., 1987. G. M. Макаровская.