Арилметановые красители

АРИЛМЕТАНОВЫЕ КРАСИТЕЛИ, производные диарил-и триарилметанов - соотв. диарил- и триарилметановые красители (в более узком смысле-дифенил- и трифенилметановые, см. ф-лу I). К арилметановым красителям условно относят также их структурные аналоги -ксантеновые красители и акридиновые красители.
1037-35.jpg

Арилметановые красители дают окраски желтых, красных, фиолетовых, синих и зеленых тонов. Цвет зависит от числа и типа ароматич. остатков и характера заместителей в них. Наличие заместителей в орто-положении к центр. атому углерода приводит к повышению цвета (см. Цветность органических соединении).

Аминоди-арилметановые красители желтого цвета из-за низкой устойчивости окрасок к действию света, р-ров щелочей применяют в нетекстильных областях пром-сти и то ограниченно; наиб. применение в текстильной пром-сти имел аура мин [I,

1037-36.jpg ; R' = N(CH3)2; R" = H; R'" = NH2]. В СССР он не производится из-за канцерогенности.

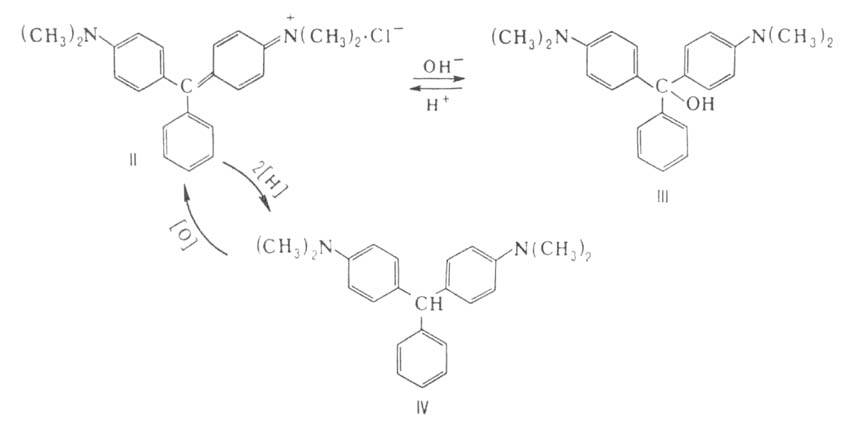
Аминотри-арилметановые красители подразделяют на диаминотри-арилметановые красители- производные малахитового зеленого1037-37.jpg; R' = N(CH3)2; R" = H; R'" = С6Н5] и триаминотри - арилметановые красители- производные фуксина1037-38.jpg ; R" = = СН3; R'" = n-С6Н4МН2]. Представляют собой соли окрашенных орг. катионов; анионами служат Cl-, SO42-или др.

В щелочной среде аминотри-арилметановые красители (напр., II) с измеримой скоростью обратимо переходят в бесцветные карбинольные основания (III), при действии восстановителей обратимо превращ. также в бесцветные лейкосоединения (IV):
1037-39.jpg

В воде аминотри-арилметановые красители частично гидролизуются до карбинольных оснований, что является причиной их низкой прочности при стирке.

Получают аминотри-арилметановые красители гл. обр. конденсацией арома-тич. аминов с бензальдегидом [основной ярко-зеленый; ф-ла I,1037-40.jpg ; R' = N(C2H5)2; R" = Н; R'" = C6H5] или формальдегидом [кислотный фиолетовыйС;1037-41.jpg ; R'= N(C2H5)CH2C6H4SO3Na-H; R" = H; R'" = n-C6H4N(CH3)2] с послед, окислением полученного лейкосоединения действием РbO2, МnО2 или бихроматов. Аминотри-арилметановые красители синтезируют также нагреванием кетона Михлера [4,4'-бис-(диметиламино)дифенилкетона] х ариламинами в присут.

РОС13 [основной синий К; ф-ла I,1037-42.jpg ; R' = N(CH3)2; R" = H; R'" = л-этиламинонафтил], окислением диметиланилина в присут. CuSO4 [основной фиолетовый К;1037-43.jpg; R' = NHCH3; R"= Н; R'" = n-C6H4N(CH3)2].

Основные аминотри-арилметановые красители образуют с гетерополикислотами, напр. с фосфорномолибденвольфрамовой к-той H7[P(W2O7)4(Mo2O7)2], нерастворимые соли (основные лаки)-светопрочные пигменты для полиграфической цветной печати. Основные аминотри-арилметановые красители применяют также для крашения бумаги, изготовления цветных карандашей и т.д.; основной фиолетовый К - индикатор метиловый фиолетовый, основной ярко-зеленый - бактерицидное средство. Карбинольное основание основного фиолетового К (фиолетовый К жирорастворимый) применяют в произ-ве паст для шариковых ручек, копировальных бумаг и лент для пишущих машинок.

Кислотные аминотри-арилметановые красители содержат не менее двух сульфогрупп, напр. кислотный ярко-голубой 3 [I, R =1037-44.jpg2Н5)2; R' = N(C2H5)2; R" = Н; R'" = 2,4-дисульфофенил], кислотный фиолетовый С (см. выше). Наличие сульфогруппы в opmo-положении к центр. атому углерода повышает прочность красителя при стирке. Их применяют для крашения шерсти, изготовления чернил, типографских красок.

Гидрокситри-арилметановые красители -производные аурина [I, R = O; R' = ОН; R" = Н; R"' = n-С6Н4ОН] и бензаурина [I, R = О; R' = OH; R" = H; R"' = C6H5], содержащие карбоксильную группу в opmo-положении к группе ОН, ограниченно используют в виде хромовых комплексов для крашения натурального шелка.

К гидрокситри-арилметановым красителям относятся фталеины и сульфофталеины, используемые как хим. индикаторы. Простейший из них-фенолфталеин. Пример су льфофталеина-феноловый красный [I, R = O; R'=ONa; R"= H; R'" = = o-C6H4S03Na].

Бесцв. лейкосоединения нек-рых арилметановых красителей благодаря способности превращаться в красители при действии электроф. реагентов и кислорода воздуха применяют в кач-ве цветообразующих компонент в копировальной и множительной технике.

Обычная выпускная форма арилметановых красителей - порошки, однако ряд красителей выпускают в виде конц. р-ров, к-рые проще изготовить и удобнее использовать.

Литература

Венкатараман К., Химия синтетических красителей, т. 2, Л., 1957, с. 805-46; Степанов Б. И., Введение в химию и технологию органических красителей, 2 изд., М., 1977, с. 133-69; Чекалин М.А., Пассет Б. В., Иоффе Б. А., Технология органических красителей и промежуточных продуктов, 2 изд., Л., 1980, с. 338-53. Б. А. Королев.

Синонимы/примеры:* Трифенилметановые красители; Фенилметановые красители
*подобраны ИИ, возможны неточности